Journal of Materials Science & Technology  2019 , 35 (11): 2543-2551 https://doi.org/10.1016/j.jmst.2019.07.008

Orginal Article

Nitrogen-doped graphite encapsulated Fe/Fe3C nanoparticles and carbon black for enhanced performance towards oxygen reduction

Jie Zhua, Zewei Xionga, Jiming Zhenga, Zhihong Luoa, Guangbin Zhua, Chao Xiaoa, Zhengbing Menga, Yibing Lia*, KunLuob*

aCollege of Materials Science and Engineering, Guilin University of Technology, Guilin 541004, China
bSchool of Materials Science and Engineering, Changzhou University, Changzhou 213164, China

Corresponding authors:   *Corresponding authors:E-mail addresses: lybgems@glut.edu.cn (Y. Li), luokun@cczu.edu.cn (K. Luo).*Corresponding authors:E-mail addresses: lybgems@glut.edu.cn (Y. Li), luokun@cczu.edu.cn (K. Luo).

Received: 2019-01-27

Revised:  2019-05-6

Accepted:  2019-05-20

Online:  2019-11-05

Copyright:  2019 Editorial board of Journal of Materials Science & Technology Copyright reserved, Editorial board of Journal of Materials Science & Technology

More

Abstract

Non-noble metal (NNM) catalysts have recently attracted intensive interest for their high catalytic performance towards oxygen reduction reaction (ORR) at low cost. Herein, a novel NNM catalyst was synthesized by the simple pyrolysis of carbon black, urea and a Fe-containing precursor, which exhibits excellent ORR catalytic activity, superior durability and methanol tolerance versus the Pt/C catalyst in both alkaline and acidic solutions. Scanning electron microscopy (SEM), transmission electron microscopy (TEM) and X-ray diffraction (XRD) characterizations demonstrate that the product is a nitrogen-doped hybrid of graphite encapsulated Fe/Fe3C nanoparticles and carbon black. X-ray photoelectron spectrum (XPS) and electrochemical analyses indicate that the catalytic performance and chemical stability correlate closely with a nitrogen-rich layer on the Fe/Fe3C nanoparticle after pyrolysis with presence of urea, leading to the same four-electron pathway towards ORR as the Pt/C catalyst. The hybrid is prospective to be an efficient ORR electrocatalyst for direct methanol fuel cells with high catalytic performance at low cost.

Keywords: Nitrogen doping ; Hybrid ; Fe/Fe3C ; Carbon black ; Oxygen reduction reaction

0

PDF (3279KB) Metadata Metrics Related articles

Cite this article Export EndNote Ris Bibtex

Jie Zhu, Zewei Xiong, Jiming Zheng, Zhihong Luo, Guangbin Zhu, Chao Xiao, Zhengbing Meng, Yibing Li. Nitrogen-doped graphite encapsulated Fe/Fe3C nanoparticles and carbon black for enhanced performance towards oxygen reduction[J]. Journal of Materials Science & Technology, 2019, 35(11): 2543-2551 https://doi.org/10.1016/j.jmst.2019.07.008

1. Introduction

Direct methanol fuel cells (DMFCs) are listed in a subcategory of fuel cells, which manifest a high energy conversion efficiency in ambient temperature [1,2]. The oxygen reduction reaction (ORR) is a vital process for DMFCs, but the sluggish dynamics of ORR has become a principal obstruction for battery efficiency [3,4]. The conventional Pt-based catalysts are accepted to afford high current density at low overpotentials, however, their limiting factors such as natural scarcity and high cost, poor durability and serious poisoning effect, block the massive application in electrochemical energy storage devices [5,6]. Considerable efforts have been devoted to developing low-cost ORR catalysts, including non-Pt noble metals [7], non-noble metal (NNM) catalysts [[8], [9], [10], [11], [12]], metal oxides/carbon [[13], [14], [15], [16]] and heteroatom-doped carbon composites etc [17,18], among which a class of rational designed metal/metal carbide nanoparticles wrapped in nanostructured carbon recently attracted intensive interest [[19], [20], [21]].

Hu and co-workers used cyanamide and ferrocene to synthesize hollow spheres of iron carbide nanoparticles encased in graphitic layers, which showed comparable catalytic performance and stability to the commercial Pt/C after 4500 potential cycles in alkaline media [19]. Lee et al. introduced nitrogen doping to enhance the ORR catalytic performance, and the hybrid of N-doped Ketjen carbon black and Fe/Fe3C of melamine carbon foam manifested excellent ORR catalytic activity, where the relative current decreased by 38% after 20,000 s of chronoamperometric reaction [22]. Hou et al. prepared a hybrid composed of nitrogen-doped Fe/Fe3C@C nanoboxes and reduced graphene oxide (RGO) [23], where the nitrogen-doped RGO sheets offered additional active sites to enhance the ORR performance, led to a more positive onset potential and a larger half-wave potential than the commercial Pt/C catalyst. The ORR current was declined by about 8% after 6000 s of chronoamperometric reaction. Up to now, debates still remain on the ORR mechanism. Some correlated the catalytic performance to the synergistic effect between the nitrogen doped carbon and carbon/graphite encapsulated Fe/Fe3C nanoparticles [22,23], while others attributed to the unique cladding structure over the Fe/Fe3C nanoparticle that allows the formation of active Fe-C-N bond for ORR catalysis [24,25].

Herein, we synthesized a nitrogen-doped hybrid of graphite encapsulated Fe/Fe3C and carbon black (Fe/Fe3C@NC/CB) by the pyrolysis of carbon black, urea and an iron precursor, which exhibited excellent ORR catalytic activity, remarkable stability and superior methanol tolerance versus the commercial Pt/C catalyst both in alkaline and acid media. The catalytic performance of the Fe/Fe3C@NC/CB hybrid was also discussed.

2. Experimental

Iron (III) nitrate nonahydrate (Fe(NO3)3·9H2O, 98.5%), sodium nitrite (NaNO2, 99%), urea (CON2H4, 99%), sodium hydroxide (NaOH, 96%), nitric acid (HNO3, 65%-68%) and anhydrous ethanol (C2H5OH, 99.7%) were purchased form Guangdong Xilong Chemical Co., Ltd.. β-naphthol (C10H7OH, 99.5%) was bought from Tianjin Guangfu Fine Chemical Research Institute. Carbon black (CB, Ketjen black, ECP600JD) and Nafion solution (5 wt%) were supplied by Suzhou Yilongsheng Energy Technology Co., Ltd. The Pt/C catalyst (20 wt%) was bought from Alfar Aesar. All chemicals were used as-received without further purification.

Briefly, 2.16 g β-naphthol and 1.58 g sodium nitrite were dissolved into 100 mL sodium hydroxide solution (5 wt%), led to the turbid solution A. 1.2 g of ferric nitrate nonahydrate was dissolved 400 mL deionized water (solution B), and the pH of the solution was adjusted to 3 by concentrated nitric acid to prevent the possible hydrolysis of ferric ion. Then, the solution A was slowly added into solution B under magnetic stirring, and the mixture was adjusted to pH 8.5, which was kept stirring for 3 h at 60 °C. Green precipitates in the mixture were centrifuged and rinsed with deionized water for three times, after drying at 80 °C overnight the iron precursor was obtained.

0.1 g of carbon black and 6 g of urea were added in sequence into 600 mL ethanol, which were mixed by ultrasonic stirring for 30 min. Then, 0.1 g of the iron precursor was added and stirred for another 30 min. The suspension was allowed to stand still, and the ethanol was evaporated by an infrared lamp, where the residual deposit was removed in an oven and heated to 800 °C at a rate of 5 °C min-1 with N2 atmosphere. Then, the deposit was calcinated at 800 °C for 2 h, led to the final product denoted as the Fe/Fe3C@NC/CB hybrid.

Variations were applied on the recipe to investigate the role of the components on ORR performance. The hybrid synthesized by the mixture of the iron precursor and CB was marked as Fe/Fe3C@C/CB, the one prepared by the mixture of CB and urea as NCB, and the physical mixture of the Fe/Fe3C@C/CB and NCB with mass ratio of 1:1 was also employed as a reference. The product obtained by the pyrolysis of the iron precursor alone was named as Fe/Fe3C@C, and the one by the calcination of the iron precursor and urea was noted as Fe/Fe3C@NC. The pure CB was also employed as reference. Moreover, the chemical stability between the Fe/Fe3C@NC/CB and Fe/Fe3C@C/CB hybrids was also studied by leaching in aqua regia at 80 °C for 12 h, and the residues were noted as Fe/Fe3C@NC/CB-A and Fe/Fe3C@C/CB-A, respectively.

Electrochemical measurements were performed using an electrochemical workstation (CHI760E) coupled with a rotating disk electrode (RDE), where a glassy carbon disk (GCE, diameter d =3 mm, surface area S = 0.07065 cm2) served as the working electrode, and a Pt wire as the counter electrode. Mercury/mercury oxide (Hg/HgO) and saturated calomel (SCE) were used separately as reference electrodes in alkaline and acidic solutions. The GCE electrode was modified prior to use by a slurry containing 4 mg of a catalyst in a mixture of 800 μL deionized water, 200 μL ethanol and 100 μL Nafion solution. 4 μL of the catalyst slurry were pipetted on the GCE, which was dried under an infrared lamp, resulted in the catalyst loading of ca. 0.2 mg cm-2.

Cyclic voltammetry (CV) curves of the modified GCEs were recorded in the potential range of -1.0 V to 0.2 V (vs. Hg/HgO) at a scan rate of 50 mV s-1 in the O2-saturated 0.1 M KOH solution. Linear sweep voltammetry (LSV) technique with RDE was also employed to operate at a scan rate of 5 mV s-1 ranging from -1.0 V to 0.2 V (vs. Hg/HgO) in 0.1 M KOH solutions saturated by O2. The ORR stability was assessed by the current-time (i-t) responses of the Fe/Fe3C@C/NC hybrid and the Pt/C catalyst at -0.2 V (vs. Hg/HgO) with a rotation rate of 400 rpm in O2-saturated 0.1 M KOH solution. The tolerance of methanol was investigated by the current-time (i-t) response at -0.2 V (vs. Hg/HgO) with a rotation rate of 400 rpm in O2-saturated 0.1 M KOH solution with addition of 3 M CH3OH. In acidic media, the ORR activity of the Fe/Fe3C@NC/CB hybrid and the Pt/C catalyst was compared using the RDE at 1600 rpm scanning from -0.3 V to 0.6 V (vs. SCE) with a rate of 5 mV s-1 in an O2-saturated 0.1 M HClO4 solution. The ORR durability of the Fe/Fe3C@NC/CB and Pt/C catalysts was evaluated by the chronoamperometric response at 0.1 V (vs. SCE) with a rotation rate of 400 rpm in O2-saturated 0.1 M HClO4 solution, and the i-t response with addition of 3 M CH3OH in the same acidic solution was used to determine the methanol tolerance of the Fe/Fe3C@NC/CB and Pt/C catalysts.

X-ray diffraction (XRD) analysis was carried out by an X'Pert PRO Diffractometer (PANalytical B.V) equipped with a Cu radiation (wavelength=1.54056 Å). Morphology and elemental mapping characterizations were performed by a field-emission scanning electron microscope (SEM, Hitachi S-4800) with an energy-dispersive X-ray spectroscopy (EDS) analyzer and a transmission electron microscope (JEM-2100 F, JEOL) working at a voltage of 200 kV. X-ray photoelectron spectroscopic (XPS) analysis was commenced on an ESCALAB 250Xi (Thermo Electron Corporation) using a monochromatic Al X-ray source, where the C1s peak at 284.8 eV was taken as the internal standard. Specific surface area and pore-size distribution were examined by a Tristar II 3020 gas adsorption analyzer (Micromeritics, USA) at 77 K using Brunauer-Emmett-Teller (BET) method.

3. Results

3.1. Morphology and structure

Fig. 1(a) illustrates the SEM image of the Fe/Fe3C@NC/CB hybrid, in which loose-packed carbon particles were observed, but the Fe-containing species cannot be differentiated from the background CB powders in the picture. In the TEM micrograph (Fig. 1(b)), several dark points are observed on carbon flakes. The high resolution TEM (HRTEM) image (Fig. 1(c)) magnifies the dark nanoparticle, where the lattice spacing is measured as 0.204 nm shown in the inset, attributed to the (110) plane of Fe or the (102) plane of Fe3C, in agreement with previous literature [8,23]. It is also seen in the picture that the dark points are nicely wrapped by a few layers of material, which is assigned to the (002) facet of graphite according to the lattice space of 0.34 nm. The EDS elemental mapping of the Fe/Fe3C@NC/CB in Fig. 1(d) illustrates that nitrogen spreads uniformly on the background carbon, suggestive of nitrogen doping in the hybrid. The clustered distribution of Fe element in the image displays the presence of Fe/Fe3C nanoparticles.

Fig. 1.   Morphologies of the as-synthesized Fe/Fe3C@NC/CB hybrid: (a) SEM image; (b) TEM image; (c) HRTEM image; (d) EDS element mapping.

Fig. 2(a) illustrates the crystalline structure of the as-synthesized Fe/Fe3C@NC/CB hybrid by XRD analysis. The diffraction appears at 25.1° corresponds to the (002) plane of graphite, and the peak at 44.7° is assigned to the (110) facet of cubic Fe (JCPDS No. 06-0696). Three peaks at 37.7°, 43.7° and 49.1° are indexed as the (210), (102) and (221) facets of Fe3C crystal (JCPDS No. 35-0772), and four wavelets at 30.1°, 35.4°, 56.9° and 62.5° are attributed to the (220), (311), (511) and (440) planes of Fe3O4 (JCPDS No. 19-0629). Therefore, the Fe-containing species in the Fe/Fe3C@NC/CB hybrid are Fe, Fe3C and Fe3O4, and the relative contents were estimated by the areas of their strongest diffraction peaks as 45%, 41% and 14%, respectively, in other words, the Fe/Fe3C nanoparticles occupy ca. 86% of the Fe-containing species in the Fe/Fe3C@NC/CB hybrid, where the contents of Fe and Fe3C are similar to each other.

Fig. 2.   XRD (a) and BET (b) analyses of the Fe/Fe3C@NC/CB hybrid (V: volume; W: pore size).

The BET analysis of the Fe/Fe3C@NC/CB hybrid exhibits the type-IV nitrogen sorption/ desorption isotherm as displayed in Fig. 2(b), where a typical hysteretic loop is present in the range of 0.45-1.0 P/P0 [[26], [27], [28]]. The surface area of the Fe/Fe3C@NC/CB hybrid was determined as 635.6 m2 g-1 with pore size of 3.93 nm shown in the inset. The large surface area contributed by the mesopores can offer more reaction sites for the Fe/Fe3C@NC/CB hybrid towards ORR.

3.2. Electrochemical characterizations

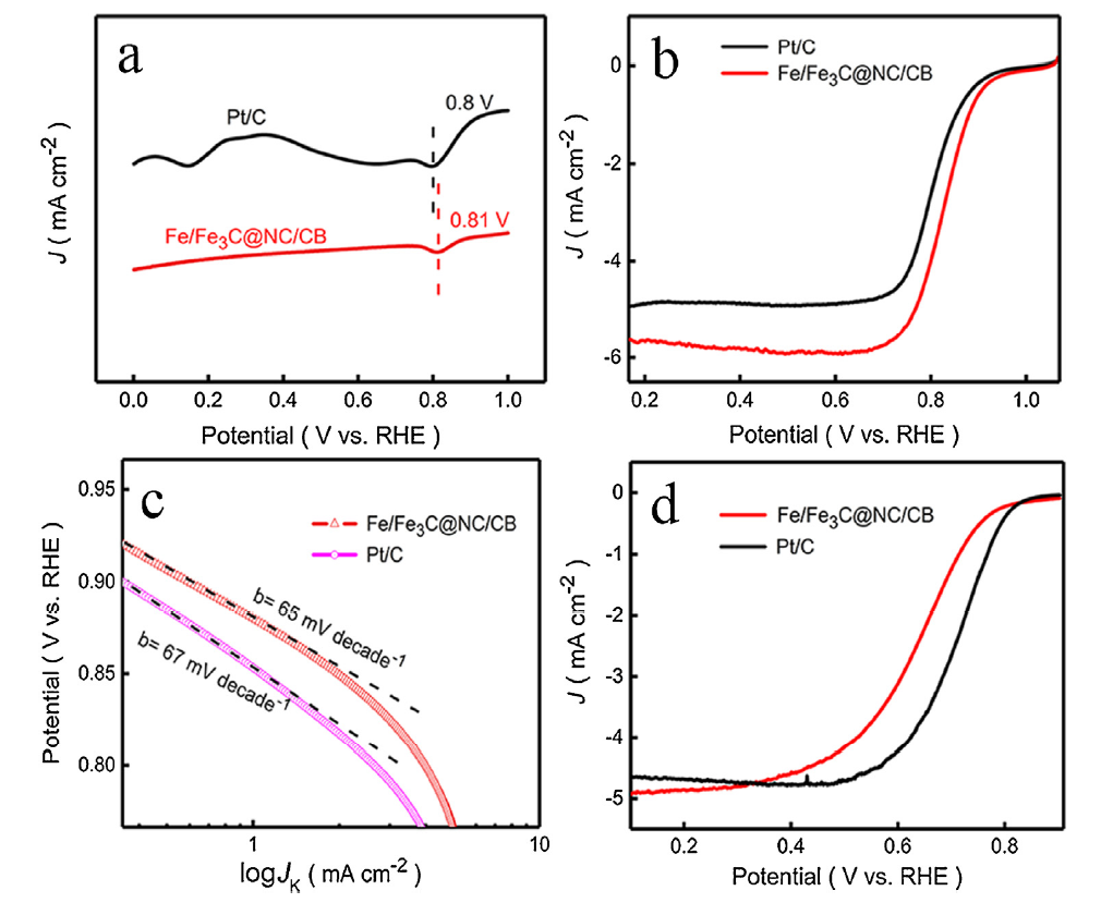
The catalytic activity of the Fe/Fe3C@NC/CB hybrid was studied by cyclic voltammetry (CV) in the O2-saturated 0.1 M KOH solution against the Pt/C catalyst at a scan rate of 50 mV s-1, where the reduction segments of the CV scans are compared in Fig. 2(a) (see the corresponding CV profiles in Fig. S1(a)). It is seen that the Fe/Fe3C@NC/CB hybrid exhibits a positive peak potential at 0.81 V, while the reduction peak for the Pt/C catalyst appears at 0.8 V, indicating that the Fe/Fe3C@NC/CB hybrid exhibits the same catalytic activity with the Pt/C catalyst in alkaline solution.

The ORR catalytic activity was also studied by the onset potential (Eonset) and the half-wave potential (E1/2) in the LSV profile using RDE, where the former is defined as the potential at 5% of the limited current, and the latter is the potential at 50% of the limited current [26]. Fig. 2(b) compares the RDE polarization profiles of the Fe/Fe3C@NC/CB and the Pt/C catalyst at 1600 rpm in O2-saturated 0.1 M KOH solutions, and the Eonset and E1/2 of the Fe/Fe3C@NC/CB hybrid are measured as 0.93 V and 0.83 V together with a limited current density of 5.92 mA cm-2. In comparison, the Eonset and E1/2 of the Pt/C catalyst appear at 0.92 V and 0.81 V with a limited current density of 4.86 mA cm-2. The larger limited current density of the Fe/Fe3C@NC/CB hybrid than the Pt/C catalyst points to the enhanced ORR kinetics. Furthermore, the Tafel slopes (Fig. 2(c)) of the Fe/Fe3C@NC/CB hybrid and Pt/C catalyst are measured as 65 mV dec-1 and 67 mV dec-1 in alkaline medium, respectively, indicative of the superior ORR kinetics of the hybrid as well. Table S2 lists the catalytic activity of the recently reported NNM catalysts in the supporting information, among which the Fe/Fe3C@NC/CB hybrid is top-listed.

The ORR catalytic activity of the Fe/Fe3C@NC/CB hybrid was noticed to vary with the recipe. Fig. S2(a) displays the LSV curves of the samples with different mass ratios of urea to carbon black (U/CB), and the maximum Eonset and E1/2 of 0.93 V and 0.83 V are assigned to the urea mass of 6.0 g (i.e. U/CB = 60:1) as shown in Fig. S2(b). When varied the amount of the iron precursor at the fixed U/CB ratio of 60:1, the optimized Eonset and E1/2 are attributed to 0.1 g of the iron precursor shown in Fig. S2c and S2d. The detailed values of the Eonset, E1/2 and limiting current density in the experiments are organized in Table S1. Therefore, the recipe for the Fe/Fe3C@NC/CB hybrid was determined in the following experiments.

The ORR catalytic activity of the Fe/Fe3C@NC/CB hybrid was also investigated in 0.1 M HClO4 electrolytes with saturated O2 against the reference Pt/C catalyst. As displayed in Fig. 3(d), the Eonset and E1/2 of the Fe/Fe3C@NC/CB hybrid are measured as 0.8 V and 0.64 V with a limited current density of 4.8 mA cm-2, and the corresponding potentials of the Pt/C catalyst are 0.82 V and 0.71 V with a limited current density of 4.73 mA cm-2, suggesting that the Fe/Fe3C@NC/CB hybrid exhibits comparable catalytic activity with the Pt/C catalyst in acidic medium, which is also competitive among other NNM catalysts in previous reports [8,9,26,29,30].

Fig. 3.   Characterization of catalytic activity towards ORR: (a) reduction segments of the CV curves of the Fe/Fe3C@NC/CB and Pt/C catalysts in O2-saturated 0.1 M KOH electrolyte at a scan rate of 50 mV s-1; (b) RDE polarization curves of the Fe/Fe3C@NC/CB and Pt/C catalysts with a scan rate of 5 mV s-1 at 1600 rpm in O2-saturated 0.1 M KOH electrolyte; (c) Tafel plots of the Fe/Fe3C@NC/CB and Pt/C catalysts extracted from (b); (d) RDE polarization curves of the Fe/Fe3C@NC/CB and Pt/C catalysts with a scan rate of 5 mV s-1 at 1600 rpm in O2-saturated 0.1 M HClO4 electrolyte.

The durability of the Fe/Fe3C@NC/CB hybrid was studied by chronoamperometric reaction. As displayed in Fig. 4(a), the Fe/Fe3C@NC/CB hybrid retains 92% of the initial reduction current at 20,000 s in O2-saturated 0.1 M KOH electrolyte. As reference, only 80% of the reduction current is kept for the Pt/C catalyst at 20,000 s. The ORR current retention of the Fe/Fe3C@NC/CB hybrid is 90% at 20,000 s of i-t testing in 0.1 M HClO4 electrolyte saturated with O2, which is much higher than the Pt/C catalyst (78% of the reduction current retained) shown in Fig. 4(b). Table S3 compares the durability of the Fe/Fe3C@NC/CB hybrid with other NNM catalysts in latest reports, which is also among the best catalysts.

Fig. 4.   ORR durability and methanol tolerance of the Fe/Fe3C@NC/CB and Pt/C catalysts: (a) chronoamperometric (i-t) responses at -0.2 V (vs. Hg/HgO) with a rotation rate of 400 rpm in O2-saturated 0.1 M KOH solution; (b) i-t responses at -0.2 V (vs. Hg/HgO) with a rotation rate of 400 rpm in O2-saturated 0.1 M KOH solution with addition of 3 M CH3OH; (c) i-t responses at 0.1 V (vs. SCE) with a rotation rate of 400 rpm in O2-saturated 0.1 M HClO4 solution; (d) i-t responses at 0.1 V (vs. SCE) with a rotation rate of 400 rpm in O2-saturated 0.1 M HClO4 solution with addition of 3 M CH3OH (I: current; I0: initial current).

The methanol tolerance was investigated by i-t responses with the addition of methanol. In the O2-saturated 0.1 M KOH electrolyte, Fig. 4(c) displays that the reduction current of the Fe/Fe3C@NC/CB hybrid undergoes a moderate decline with final current retention of 93% at 600 s, where only a fluctuation occurs in response to the introduction of methanol in the system. In contrast, the ORR current of the Pt/C catalyst exhibits a sharp decrease with the addition of methanol, and ends up with 55% of current retention at 600 s, in line with a previous reports [22,29]. In 0.1 M HClO4 electrolyte solution, the Fe/Fe3C@NC/CB hybrid retains about 84% of the ORR current with the addition of methanol as shown in Fig. 4(d). As for the Pt/C catalyst, only 62% of the reduction current is kept. The results indicate that the Fe/Fe3C@NC/CB hybrid exhibits much better methanol tolerance than the Pt/C catalyst.

4. Discussion

It has been demonstrated by TEM and XRD analyses that the Fe/Fe3C@NC/CB hybrid is composed of graphite encapsulated Fe/Fe3C nanoparticles and carbon black after nitrogen doping at elevated temperature. To correlate the high performance with the microscopic features of the hybrid, we compared the Fe/Fe3C@NC/CB hybrid with the Fe/Fe3C@C/CB and NCB.

Fig. 5(a) and (b) compares the SEM image of the Fe/Fe3C@C/CB with the NCB, where the both exhibit as similar granules and the Fe-containing particles in the Fe/Fe3C@C/CB hybrid are not distinguishable from background carbon flakes. Fig. 5(c) displays the TEM micrograph of the Fe/Fe3C@C/CB hybrid, in which some dark particles are clearly seen. The HRTEM image in Fig. 5(d) further reveals that the dark core is attributed to the Fe/Fe3C nanoparticle with a lattice space of 0.204 nm, and the layered shell is assigned to graphite with a lattice of 0.34 nm. In comparison, the TEM micrograph of the NCB in Fig. 5(e) only displays carbon flakes with no dark points. Fig. S3 displays that the Fe/Fe3C@C/CB, NCB and pure CB are all mesoporous with a similar pore size of ca. 3.9 nm. When no CB was involved in the synthesis, the graphite shells were still formed on the Fe/Fe3C nanoparticles of the Fe/Fe3C@NC and Fe/Fe3C@C hybrids (Fig. S4), indicating that the graphite shells were produced from the decomposition of the iron precursor. The element distribution further demonstrates that the graphite shell of the Fe/Fe3C@NC is nitrogen doped due to the pyrolysis with presence of urea. However, the nitrogen doping occurred during pyrolysis does not bring with morphological discrepancy. After aqua regia treatment, the dark points in the Fe/Fe3C@C/CB-A basically disappear, leaving vacant graphite shells and carbon flakes similar to the NCB as displayed in Fig. 5(f). In contrast, the dark particles of the Fe/Fe3C@NC/CB-A are still remained after acid leaching shown in the Fig. 5(g), demonstrating that the protection of Fe/Fe3C nanoparticles from acid attack is in association with nitrogen doping.

Fig. 5.   Morphologies and structure analyses: (a) SEM image of the Fe/Fe3C@C/CB hybrid; (b) SEM image of the NCB; (c) TEM image of the Fe/Fe3C@C/CB hybrid; (d) HRTEM image of the Fe/Fe3C@C/CB hybrid; (e) HRTEM micrograph of the NCB; (f) HRTEM micrograph of the TEM image of the Fe/Fe3C@C/CB-A hybrid; (g) HRTEM image of the Fe/Fe3C@NC/CB-A hybrid; (h) XRD analysis of the Fe/Fe3C@C/CB, NCB, Fe/Fe3C@C/CB-A and Fe/Fe3C@NC/CB-A hybrids.

The XRD pattern of the Fe/Fe3C@C/CB in Fig.5h presents a peak at 25.1° assigned to the (002) plane of graphite, two peaks at 44.7° and 65.0° corresponding to the (110) and (200) plane of cubic Fe (JCPDS No. 06-0696), as well as three more peaks at 37.7°, 43.7° and 49.1° indexed as the (210), (102) and (221) facets of Fe3C crystal (JCPDS No. 35-0772). As reference, the NCB powder only displayed two carbon phases at 25.1° and 43.4° corresponding to the partially graphitic carbon [9], and the features of Fe, Fe3C and graphite are all present in the XRD curves of the Fe/Fe3C@NC and Fe/Fe3C@C hybrids (Fig. S5), exhibiting the formation of graphite layers on the Fe/Fe3C nanoparticles after the decomposition of the iron precursor, in agreement with TEM observation (Fig. S4). After aqua regia treatment, the peaks assigned to Fe3O4 are invisible, but the diffractions related to Fe/Fe3C are essentially kept in the Fe/Fe3C@NC/CB-A as displayed in Fig. 5(h). In comparison, the Fe related peaks are hardly seen for the Fe/Fe3C@C/CB-A, indicating the dissolution of Fe-containing species in line with TEM observation. The results verify that the graphite shell itself is not enough to keep the core Fe/Fe3C nanoparticle from acid corrosion, possibly assigned to the intrinsic structural defects of the graphite layers. Therefore, the reaction product on the Fe/Fe3C nanoparticle with urea is likely responsible for the superior anti-corrosion performance of the Fe/Fe3C@NC/CB hybrid.

The discrepancy on ORR catalytic activity between the Fe/Fe3C@NC/CB and Fe/Fe3C@C/CB hybrids is also studied. The reduction peak potential of the Fe/Fe3C@C/CB hybrid appears at 0.72 V shown in the CV curves in Fig. S1, which is a bit larger than the NCB (0.67 V) and Fe/Fe3C@C (0.54 V) in O2-saturated 0.1 M KOH solution, but is smaller than the Fe/Fe3C@NC/CB hybrid (0.81 V), Pt/C catalyst (0.80 V) and Fe/Fe3C@NC (0.77 V). The result illustrates that nitrogen doping is of importance for the catalytic activity of the hybrids, and the existence of CB also enhances the performance, possibly in connection with the improved electric conductivity of the hybrids with CB.

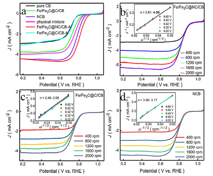
The investigation of LSV using RDE in O2-saturated 0.1 M KOH solution also yields similar results. Fig. 6(a) displays the RDE polarization profiles of the pure CB, Fe/Fe3C@C/CB, NCB, physical mixture of Fe/Fe3C@C/CB and NCB (with mass ratio of 1:1), Fe/Fe3C@C, Fe/Fe3C@C, Fe/Fe3C@C/CB-A, Fe/Fe3C@NC/CB-A and Pt/C catalyst at 1600 rpm, and the detailed Eonset, E1/2 and limiting current density values are listed in Table S1. The pure CB presents the weakest activity towards ORR with the Eonset and E1/2 potential at 0.84 V and 0.71 V, while the Eonset and E1/2 of the NCB after nitrogen doping rise to 0.88 V and 0.79 V, manifesting the effect of nitrogen doping on catalytic activity. Similarly, the Eonset and E1/2 of the Fe/Fe3C@C/CB hybrid locate at 0.86 V and 0.74 V, which is obviously lower than the Fe/Fe3C@NC/CB hybrid at 0.93 V and 0.83 V, respectively. As reference, the values of the Pt/C catalyst appear at 0.92 V and 0.81 V. The Eonset and E1/2 values of the physical mixture of Fe/Fe3C@C/CB and NCB just occur at 0.86 V and 0.76 V, while the values of the Fe/Fe3C@NC (0.89 V and 0.80 V) and Fe/Fe3C@C (0.60 V and 0.80 V) hybrids are also smaller than the Fe/Fe3C@NC/CB hybrid, suggesting that the catalytic performance of the Fe/Fe3C@NC/CB hybrid is basically not originated from the interaction with the NCB support, but from the reaction product on the Fe/Fe3C nanoparticles after pyrolysis with urea. Moreover, the Eonset and E1/2 potentials of the Fe/Fe3C@C/CB-A declines to 0.81 V and 0.72 V, while the values of the Fe/Fe3C@NC/CB-A still remain at 0.91 V and 0.81 V, indicative of the preservation of catalytic activity of the Fe/Fe3C@NC/CB hybrid after aqua regia treatment.

Fig. 6.   RDE analysis of ORR kinetics with a scan rate of 5 mV s-1 at 1600 rpm in O2-saturated 0.1 M KOH electrolyte: (a) LSV profiles of the pure CB, NCB, Fe/Fe3C@C/CB, Fe/Fe3C@C/CB-A and Fe/Fe3C@NC/CB-A; (b) K-L plot of the Fe/Fe3C@NC/CB hybrid; (c) K-L plot of the Fe/Fe3C@C/CB hybrid; (d) K-L plot of the NCB.

The ORR kinetics of the Fe/Fe3C@C/CB, NCB and Fe/Fe3C@NC/CB hybrids was also studied by RDE using the Koutecky-Levich (K-L) formula at various rotating rates, and the electron transfer number can be calculated by the following equations:

J-1 = JL-1 + JK-1 = B-1ω-1/2 + JK-1 (1)

B = 0.2nFCoDo2/3ν-1/6 (2)

where J, JK, and JL are the measured current density and the kinetic and diffusion limiting current densities, respectively; ω is the rotation rate of the RDE (rpm); ν is the kinetic viscosity of the electrolyte (taken 0.01 cm2 s-1 in 0.1 M KOH solution); F is the Faraday constant (F = 96485 C mol-1); Co is the concentration of O2 (1.2 × 10-3 mol L-1 in 0.1 M KOH solution), and Do is the diffusion coefficient of O2 (1.93 × 10-5 cm2 s-1) in 0.1 M KOH solution [27]. The K-L plot in the inset of Fig. 6(b) exhibit fairly good linearity at different potentials, indicative of the first-order kinetics for the Fe/Fe3C@NC/CB hybrid [31] in consistence with previous report [27]. The electron transfer number is then computed to be 3.91-4.00 at a potential range from 0.22 V to 0.62 V, indicating the same four-electron ORR mechanism as the Pt/C catalyst in alkaline medium [32,33]. In contrast, the n values for the NCB and Fe/Fe3C@C/CB are determined as 3.12 and 2.53 at the same potential range shown in Fig.6c and 6d, indicative of the different ORR pathways from the Fe/Fe3C@NC/CB hybrid.

To understand the experiments, XPS analysis was employed to characterize the Fe/Fe3C@NC/CB hybrid. As illustrated by Fig. S6, the total spectrum indicates the presence of C (91.5 at.%), O (4.5 at.%), N (3.52 at.%) and Fe (0.5 at.%) in the hybrid, demonstrating that the addition of urea results in the introduction of nitrogen in the hybrid, in line with a previous report [23]. The detailed data from XPS analysis is listed in Table S4. For the resolved C1s signal in Fig. 7(a), five fitted peaks appear at 283.5 eV, 284.8 eV, 285.7 eV, 287.8 eV and 290.2 eV, indicative of Fe3C and C–C, C–O, C=O, O–C=O groups [23,34,35]. Four peaks are fitted in the high-resolution O1s signal in Fig. 7(b) at 530.3 eV, 532.2 eV, 533.8 eV and 535.4 eV, attributed to the Fe3O4, C–O, C=O and O–C=O groups [23,35,36], respectively. As for the high-resolution N1s signal in Fig. 7(c), five peaks are obtained corresponding to the pyridinic N (398.8 eV), Fe-NX (399.6 eV), pyrrolic N (400.6 eV), graphitic N (401.2 eV), and oxidized N (402.9 eV) [10,36,37]. The fitting of the high-resolution Fe2p signal displayed in Fig. 7(d) results in four peaks at 706.5 eV, 708.6 eV, 710.6 eV and 714.0 eV, corresponding to Fe or Fe3C, Fe-NX, Fe3+ and Fe2+, respectively [[8], [9], [10],35]. The above analysis indicates the existence of Fe, Fe3C and Fe3O4 in the Fe/Fe3C@NC/CB hybrid, which is in agreement with XRD characterization. The presence of the C–O, C=O, O–C=O groups reveals the surface oxidation of carbon black during pyrolysis at elevated temperature, and the occurrence of C-NX bonds (including pyridinic N, pyrrolic N, graphitic N and oxidized N) indicates of nitrogen doping for carbon materials. The Fe-NX bond demonstrates the reaction between urea and Fe/Fe3C nanoparticles during pyrolysis, where the Fe-N-C bond is likely present on the Fe/Fe3C nanoparticles as well, leading to a nitrogen-rich layer on the Fe/Fe3C nanoparticles, which cannot be detected by conventional XRD analysis for the tiny mass and/or low crystallinity.

Fig. 7.   XPS analysis of the Fe/Fe3C@NC/CB hybrid: (a) Fitting of the resolved C1s signal; (b) Fitting of the resolved O1s signal; (c) Fitting of the resolved N1s signal; (d) Fitting of the resolved Fe2p signal.

Previous reports suggested that both the graphite encapsulated Fe/Fe3C (Fe/Fe3C@C) and nitrogen doped carbon (NCB) manifested strong catalytic activity towards ORR, and the synergistic effect between the Fe/Fe3C@C and NCB could further enhance the catalytic properties [23,29,38,39]. Fe3O4 was also considered to catalyze the ORR process [40,41]. In this work, the Fe/Fe3C@NC/CB hybrid manifests much higher catalytic performance than the Fe/Fe3C@C/CB, NCB and their physical mixture, and follows a different ORR mechanism from the others, suggesting that the superior catalytic performance is not originated from either active component or the interaction to each other. The excellent anti-corrosion property of the Fe/Fe3C@NC/CB hybrid also points to the nitrogen-rich layer on the Fe/Fe3C nanoparticles, which allows the hybrid to catalyze ORR in acidic medium for long. The schematic structure model and ORR reaction of the Fe/Fe3C@NC/CB hybrid are demonstrated in Fig. 8. Actually, few NNM catalysts have been reported to exhibit the combination of desirable ORR performance, superior durability and methanol tolerance in both alkaline and acidic media (Tables S2 and S3). The excellent catalytic activity and durability, as well as the superior methanol tolerance of the Fe/Fe3C@NC/CB hybrid versus the Pt/C catalyst makes it prospective to be applied in DMFCs at low cost.

Fig. 8.   Schematic structure and ORR reaction of the Fe/Fe3C@NC/CB hybrid.

5. Conclusion

A novel ORR catalyst comprised of nitrogen-doped graphite encapsulated Fe/Fe3C nanoparticles and carbon black (Fe/Fe3C@NC/CB) was synthesized by a cost-effective pyrolysis of carbon black, urea, and an iron precursor. The Fe/Fe3C@NC/CB hybrid exhibits competitive catalytic activity towards ORR versus the commercial Pt/C catalyst in both alkaline and acidic media, accompanied with superior durability and methanol tolerance, which allows prospective application in DMFCs. The excellent catalytic performance of the Fe/Fe3C@NC/CB hybrid is correlated with the unique nitrogen-rich layer on the Fe/Fe3C nanoparticle owing to the reaction with urea during pyrolysis, leading to the same 4-electron ORR pathway as the Pt/C catalyst, although the exploration on the detailed ORR mechanism is still underway.

Acknowledgements

This work was supported financially by the National Natural Science Foundation of China (No. 51874051) and the Natural Science Foundation of Guangxi Province (Nos. 2015GXNSFAAI39283 and 2016GXNSFAA380107).


/