中国腐蚀与防护学报  2015 , 35 (1): 49-54 https://doi.org/10.11902/1005.4537.2014.141

苯并咪唑衍生物在1 mol/L HCl溶液中对45#碳钢缓蚀行为的研究

王青, 马雪梅, 石海燕, 原珊, 郭建峰, 梁栋, 胡志勇

中北大学化工与环境学院 太原 030051

Inhibition Performance of Benzimidazole Derivatives for Steel 45(GB) in 1 mol/L HCl Solution

WANG Qing, MA Xuemei, SHI Haiyan, YUAN Shan, GUO Jianfeng, LIANG Dong, HU Zhiyong

College of Chemical Engineering and Environment, North University of China, Taiyuan 030051, China

中图分类号:  TG174.42

通讯作者:  通讯作者:胡志勇,E-mail:huzhiyong@nuc.edu.cn,研究方向为精细有机化学品的合成与应用

接受日期:  2014-12-26

网络出版日期:  --

版权声明:  2015 《中国腐蚀与防护学报》编辑部 版权所有 2014, 中国腐蚀与防护学报编辑部。使用时,请务必标明出处。

基金资助:  山西省科技攻关项目 (20130313006-3) 资助

作者简介:

王青,女,1989年生,硕士生

展开

摘要

以2-氨基苯并咪唑和含三嗪环阴离子表面活性剂为原料合成了两种苯并咪唑衍生物BSC6T和BSC8T。采用静态失重、动电位极化、电化学阻抗和扫描电镜等方法研究了它们在1 mol/L HCl溶液中对45碳钢的缓蚀行为。结果表明,与2-氨基苯并咪唑相比,BSC6T和BSC8T具有优良的缓蚀性能,其中,BSC8T的缓蚀性能更佳。在25 ℃下,1 mol/L HCl溶液中,当BSC8T使用浓度达到0.9 g/L时,缓蚀率为98.6%。BSC8T是一种以阴极为主的混合型缓蚀剂。

关键词: 缓蚀剂 ; 苯并咪唑衍生物 ; 阴离子表面活性剂 ; 电化学测试

Abstract

Two new benzimidazole derivatives, BSC6T and BSC8T, were synthesized using 2-aminobenzimidazole and triazine anionic surfactants. Their inhibition effect on steel 45(GB) in 1 mol/L HCl solution were studied by means of mass loss method, potentiodynamic polarization, electrochemical impedance spectroscopy (EIS) and scanning electron microscopy (SEM). Results showed that the inhibition efficiency increased significantly with the increasing inhibitor concentration; BSC6T and BSC8T acted as a mixed type inhibitors with cathodic inhibition as the dominative action; BSC6T and BSC8T had better inhibition effect rather than 2-aminobenzimidazole; however, among the three inhibitors, BSC8T exhibited the best inhibition performance with inhibition efficiency up to 98.6% for a concentration of 0.9 g/L.

Keywords: inhibitor ; benzimidazole derivative ; anionic surfactant ; electrochemical measurement

0

PDF (1823KB) 元数据 多维度评价 相关文章 收藏文章

本文引用格式 导出 EndNote Ris Bibtex

王青, 马雪梅, 石海燕, 原珊, 郭建峰, 梁栋, 胡志勇. 苯并咪唑衍生物在1 mol/L HCl溶液中对45#碳钢缓蚀行为的研究[J]. , 2015, 35(1): 49-54 https://doi.org/10.11902/1005.4537.2014.141

WANG Qing, MA Xuemei, SHI Haiyan, YUAN Shan, GUO Jianfeng, LIANG Dong, HU Zhiyong. Inhibition Performance of Benzimidazole Derivatives for Steel 45(GB) in 1 mol/L HCl Solution[J]. 中国腐蚀与防护学报, 2015, 35(1): 49-54 https://doi.org/10.11902/1005.4537.2014.141

1 前言

苯并咪唑类衍生物在1 mol/L HCl溶液中对Q235钢有很好的缓蚀作用,可有效地抑制酸性溶液对碳钢的腐蚀[1]-[6]。研究[7,8]发现,这类缓蚀剂的缓蚀性能主要依赖于分子在金属表面的吸附,而这种吸附与分子结构紧密相关,因此可以对此类物质进行适当的化学修饰,通过改善其吸附性能来提高缓蚀效果。另有研究[9,10]表明,表面活性剂可在碳钢表面发生定向吸附形成单分子或多分子膜,从而阻碍酸性介质对碳钢的腐蚀。因此,应在2-氨基苯并咪唑中引入具有表面活性的官能团使其成为具表面活性的苯并咪唑类衍生物,一方面缓蚀剂分子的定向吸附有利于其在碳钢表面吸附成膜,增强其对碳钢试片的缓蚀率,降低缓蚀剂的用量;另一方面,不同取代基的选择吸附可以有效地提高2-氨基苯并咪唑的缓蚀效果。

本文以2-氨基苯并咪唑、2-正己氨基-4- (2-磺基乙基) -氨基-6-氯-1,3,5均三嗪、2-正辛氨基-4- (2-磺基乙基) -氨基-6-氯-1,3,5均三嗪为原料制备了两种苯并咪唑衍生物2-正己氨基-4- (2-磺基乙基) -氨基-6- (苯并咪唑基) -氨基-1,3,5均三嗪 (BSC6T) 和2-正辛氨基-4- (2-磺基乙基) -氨基-6- (苯并咪唑基) -氨基-1,3,5均三嗪 (BSC8T) 。采用静态失重、动电位极化、电化学阻抗以及扫描电镜等手段,研究了其在1 mol/L HCl溶液中对45碳钢的缓蚀行为。

2 实验方法

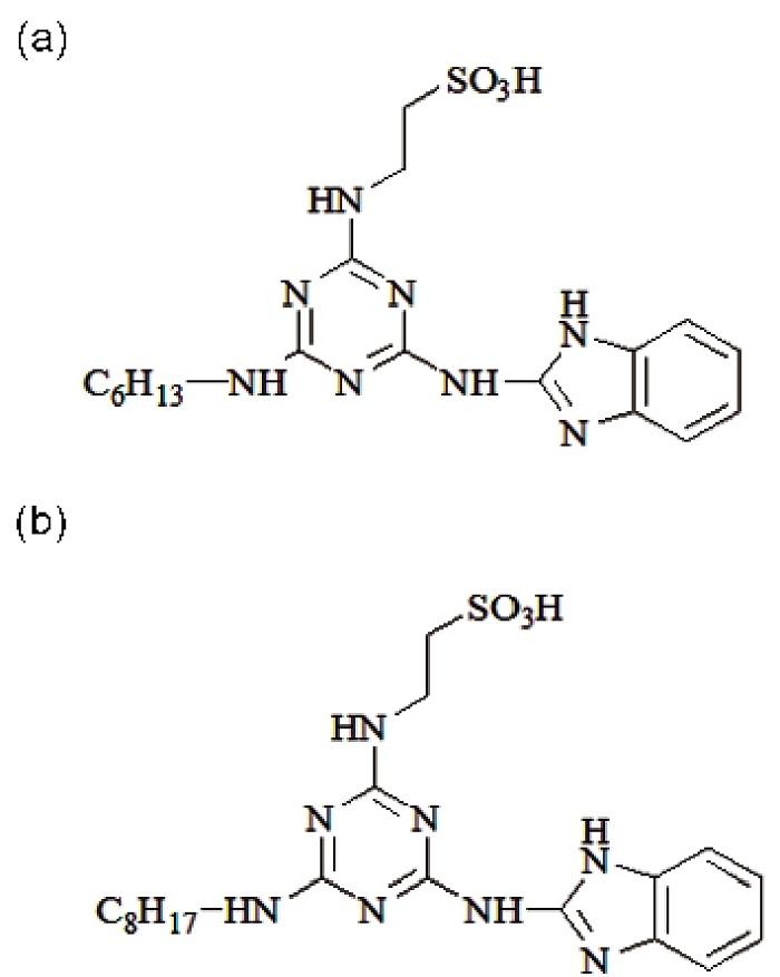
目标化合物分子结构见图1。BSC6T和BSC8T的红外IR(KBr)谱:1500 cm-1三嗪环伸缩振动,1210 cm-1磺酸S=O不对称伸缩振动,1060 cm-1磺酸S=O对称伸缩振动,3000 cm-1烃基伸缩振动,1500,1580和1600 cm-1苯环,1650~1550 cm-1芳香族及芳杂环,1468和1455 cm-1咪唑环伸缩振动。

图1   两种缓蚀剂的分子结构

Fig.1   Structures of BSC6T (a) and BSC8T (b)

实验材料为45碳钢,主要化学成分 (质量分数,%) 为:C 0.5,Si 0.37,Mn 0.8,P 0.04,S 0.045,Cr 0.25,Ni 0.25,Cu 0.25,Fe余量。试片规格为20 mm×10 mm×2 mm,缓蚀剂浓度分别为:0.15,0.30,0.45,0.60,0.75和0.90 g/L,腐蚀介质为1 mol/L HCl溶液。碳钢试片用水相砂纸 (150,400,600,800和1000) 逐级打磨至光亮,经无水乙醇清洗除油后,吹干称重。在25 ℃恒温条件下,将称重试片分别静置悬挂于不同缓蚀剂浓度的1 mol/L HCl溶液中浸泡。24 h后,取出试片,清洗、干燥处理后称重,根据试片的腐蚀失重,计算缓蚀率。

电化学测试采用IM6ex电化学工作站,用常规的三电极体系,参比电极为饱和甘汞电极 (SCE),辅助电极为铂电极,工作电极为45碳钢,工作面积为1 cm×1 cm,其余部分用环氧树脂封装,每次测试前电极表面用砂纸逐级打磨抛光至光亮,无水乙醇除油,去离子水清洗后干燥。测试前,将电极浸泡在测试溶液中测开路电压,待开路电压稳定后 (约1 h)[11],开始动电位极化和电化学阻抗的测试。动电位极化扫描速率是1 mV/s,扫描范围是:-1~0.2 V,使用工作站自带的拟合软件进行拟合。电化学阻抗扫描频率为100 mHz~100 kHz,正弦波扰动信号振幅为5 mV,使用ZSimpWin软件进行分析拟合。测试温度均为25 ℃。

为了直观表现缓蚀结果,用ZEISS SUPRA 55型扫描电镜 (SEM) 对静态失重测试之后的试片进行表面形貌观察分析,加速电压为5 kV。

3 结果与讨论

3.1 静态失重

在25 ℃条件下,测得的不同浓度缓蚀剂在1 mol/L HCl溶液中的缓蚀率变化如图2。缓蚀率IE%由下式计算得到:

IE%=V0-VV0×100%

式中,V0V分别表示45碳钢在空白腐蚀液和添加不同浓度缓蚀剂的腐蚀液中的腐蚀速率,g/(m2h)。

腐蚀速率V的计算公式如下:

V=MO-MAt

式中,M0M分别表示腐蚀前后金属试片的重量,g;A为试片的表面积,m2t为测试时间,h。

由图2可以看出,3种缓蚀剂的加入对碳钢试片都起到了明显的缓蚀作用,且BSC6T和BSC8T的缓蚀率随着缓蚀剂浓度的增大而显著增大,当缓蚀剂浓度超过0.2 g/L时,两种缓蚀剂的缓蚀率就达90%以上,之后随着缓蚀剂浓度的增大,缓蚀率变化趋于平稳。而2-氨基苯并咪唑的缓蚀率随着缓蚀剂浓度的增大一直在缓慢上升,当缓蚀剂浓度达到0.9 g/L时,缓蚀率也仅仅达到48%。这可能是因为BSC6T和BSC8T分子结构中包含有3个N原子的三嗪环,较2-氨基苯并咪唑有更多的活性吸附中心,可以向Fe的空轨道提供电子形成配位键,利于缓蚀剂分子在碳钢表面吸附;同时,三嗪环上亲水、亲油取代基的引入使得合成的两种缓蚀剂分子具有表面活性,可以在碳钢表面定向吸附,进一步提高了缓蚀剂分子的缓蚀率。因此,苯并咪唑衍生物BSC6T及BSC8T在1 mol/L HCl溶液中较2-氨基苯并咪唑具有更好的缓蚀效果。

图2   45碳钢在含有不同浓度缓蚀剂的1 mol/L HCl溶液中的缓蚀率

Fig.2   Inhibition efficiency of 45(GB) steel in 1 mol/L HCl solutions containing different concentrations of inhibitors

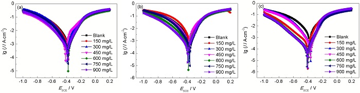
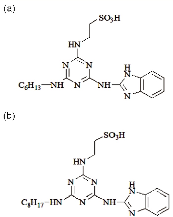
3.2 动电位极化

在25 ℃条件下,含不同浓度缓蚀剂的1 mol/L HCl溶液中,45碳钢的动电位极化曲线见图3。表1列出了相应的拟合参数:自腐蚀电位Ecorr,腐蚀电流密度Icorr,阴极Tafel斜率bc,阳极Tafel斜率ba和缓蚀率IE(%)。其中,IE的计算公式如下:

图3   45碳钢在含有不同浓度缓蚀剂的1 mol/L HCl溶液中的极化曲线

Fig.3   Polarization curves of 45(GB) steel in 1 mol/L HCl solutions containing different concentrations of 2-aminobenzimidazole (a), BSC6T (b) and BSC8T (c)

IE%=Icorr0-IcorrIcorr0×100%

式中, Icorr0Icorr分别为空白腐蚀液及添加了不同浓度缓蚀剂的腐蚀液中通过电极的腐蚀电流密度。

从图3可以看出,随着缓蚀剂的加入,3种缓蚀剂阴阳极两个分支的电流密度都有减小,这说明3种缓蚀剂在1 mol/L HCl溶液中对碳钢电极阴极的析氢反应和阳极的溶解反应产生了抑制作用。同时,从图中曲线中可以看出阴极电流密度减小的更显著,故3种缓蚀剂主要是控制电化学腐蚀过程的阴极反应,其中BSC8T表现的最为明显,BSC6T次之,2-氨基苯并咪唑最不明显。此外,Ecorr的变化在85 mV以上才可以判断缓蚀剂的类型[12],因此3种缓蚀剂是以阴极为主的混合型缓蚀剂。

表1中,当缓蚀剂浓度为0.9 g/L时,2-氨基苯并咪唑,BSC6T及BSC8T 3种缓蚀剂的缓蚀率分别为69.2%,81.7%和95.1%,说明这3种缓蚀剂对碳钢试片均起到了缓蚀作用。其中,在合成的两种缓蚀剂中,BSC8T的缓蚀性能明显优于BSC6T,这可能是由缓蚀剂分子结构中疏水链长度的不同引起的,分子结构中的疏水基团所具有的屏蔽作用,使腐蚀介质不易接近或到达碳钢表面,从而保护碳钢试片不受腐蚀,而疏水链越长,疏水基团的屏蔽作用就越强[13],因此,BSC8T的缓蚀效果更佳。这与静态失重实验所得的结论相一致。

表1   45碳钢在含有不同浓度缓蚀剂的1 mol/L HCl溶液中的动电位极化参数

Table 1   Dynamic polarization parameters for 45(GB) steel in 1 mol/L HCl solutions containing different concentrations of inhibitors

Inhibitorc / (gL-1)Ecorr (vs SCE) / mVIcorr / (mAcm-2)bc / (mVdec)ba / (mVdec)IE / %
2-amino-
benzimidazoe
Blank-375.81.960146107---
0.15-373.91.35013298.831.1
0.30-387.40.99011380.849.5
0.45-420.70.94814279.851.6
0.60-384.50.87712910755.3
0.75-397.20.79713110359.3
0.90-395.00.60413799.169.2
Blank-375.81.960146107---
0.15-383.21.22013191.737.8
0.30-361.60.94012784.552.0
BSC6T0.45-383.40.74885.158.661.8
0.60-383.50.66114992.066.3
0.75-352.50.51212571.173.9
0.90-379.00.35915471.581.7
Blank-375.81.960146107---
0.15-405.20.36419578.781.4
0.30-357.90.30912079.284.2
BSC8T0.45-358.40.24212176.287.7
0.60-385.50.11711764.894.0
0.75-372.30.11618085.394.0
0.90-394.50.09617170.595.1

新窗口打开

3.3 电化学阻抗

图4为25 ℃时在添加了不同浓度缓蚀剂的1 mol/L HCl溶液中测得的45碳钢的Nyquist图。使用ZSimpWin软件对数据进行拟合,得到优化的等效电路 (图5)。图中,Rs为溶液电阻;Rct为电荷转移电阻;Cdl为双电层电容,反映电极和溶液界面之间双电层结构及所含电荷量的变化情况,拟合参数见表2。缓蚀率IE%由下式得到:

IE%=Rct-Rct0Rct×100%

图4   45碳钢在添加不同浓度缓蚀剂的1 mol/L HCl溶液中的Nyquist谱

Fig.4   Nyquist plots of 45(GB) steel in 1 mol/L HCl solutions containing different concentrations of 2-aminobenzimidazole (a), BSC6T (b) and BSC8T (c)

图5   阻抗等效电路

Fig.5   Equivalent circuit for EIS

式中, Rct0Rct分别为空白腐蚀液及添加不同浓度缓蚀剂的腐蚀溶液中的电荷转移电阻。

由图4可知,Nyquist图上只有一个容抗弧,说明只具有一个时间常数[14]。随着缓蚀剂浓度的增大,容抗弧的半径逐渐增大,意味着缓蚀膜随着缓蚀剂浓度的增加而增厚,缓蚀膜的形成阻止了溶液中的侵蚀剂H+和Cl-向电极表面的扩散,对碳钢电极的腐蚀具有较强的抑制作用。从图中还可以看出,相同条件下BSC6T和BSC8T两种缓蚀剂容抗弧的半径远大于2-氨基苯并咪唑的,说明合成的两种缓蚀剂对金属腐蚀的抑制作用优于2-氨基苯并咪唑。

由表2可以看出,随着缓蚀剂浓度的增加,3种缓蚀剂的电荷转移电阻Rct逐渐增大,表明缓蚀剂分子与碳钢表面的相互作用逐渐增强,缓蚀剂分子覆盖的电极表面活性点增多,金属表面溶液界面间电荷的迁移阻力越来越大,使金属的腐蚀反应越来越难发生;同时,随着缓蚀剂浓度的增加,双电层电阻Cdl逐渐下降,这是由于碳钢表面的水分子被缓蚀剂分子取代,吸附在电极表面使界面双电层变厚,腐蚀介质与碳钢表面的接触变得困难,从而对腐蚀反应的抑制更加强烈,缓蚀效果更加显著。当3种缓蚀浓度达到最大时,缓蚀率也分别达到最大值:59.8%(2-氨基苯并咪唑),97.7%(BSC8T)和98.6%(BSC8T)。BSC6T及BSC8T的缓蚀效果优于2-氨基苯并咪唑的,其中,BSC8T缓蚀效果最佳,变化趋势与静态失重及动电位极化实验结论相一致。

表2   45碳钢在添加不同浓度缓蚀剂的1 mol/L HCl溶液中的阻抗拟合参数

Table 2   Impedance data of 45(GB) steel in 1 mol/L HCl solutions containing different concentrations of inhibitors

Inhibitorc / (gL-1)Rs / (Ωcm2)Rct / (Ωcm2)Cdl / (μFcm-2)IE / %
Blank1.6227.695687.9---
0.151.27110.74409.928.4%
0.301.45111.50240.133.1%
2-aminobenzimidazole0.451.07412.28223.537.3%
0. 601.31313.46106.342.8%
0.751.29416.44102.553.2%
0.901.11019.1782.2659.8%
Blank1.6227.695687.9---
0.151.17915.69199.650.9%
0.301.11626.89134.171.4%
BSC6T0.451.32376.29109.389.9%
0.601.166103.491.3392.6%
0.751.300204.768.5396.2%
0.901.200329.817.0197.7%
Blank1.6227.695687.9---
0.151.32741.9628081.7%
0.301.26658.8523986.9%
BSC8T0.451.18280.8131.0290.5%
0.601.426155.423.5695.0%
0.751.498329.522.2597.7%
0.901.244556.111.5298.6%

新窗口打开

3.4 45钢表面腐蚀形貌

图6显示了试样打磨后在空白溶液及含有0.9 g/L缓蚀剂的1 mol/L HCl中浸泡24 h后的表面腐蚀形貌,浸泡温度为25 ℃。从图6a中看到,刚刚打磨的试样表面十分平整,划痕清晰可见;图6b显示试样在空白腐蚀液中浸泡后其表面受到严重腐蚀,出现了高低不平的蚀坑;图6c~e显示了浸泡在添加了0.9 g/L缓蚀剂的腐蚀溶液中的试样表面,相较于空白腐蚀液,其表面形貌相对比较平整,较刚刚打磨处理后的试样表面粗糙。这表明,添加缓蚀剂后,试样受到了显著的保护,即2-氨基苯并咪唑,BSC6T和BSC8T的添加可以减弱酸对碳钢结构的腐蚀作用。比较图6c~e可得,试样在含有BSC8T的溶液中浸泡后的表面最平整,最接近刚打磨后的表面,BSC6T次之,2-氨基苯并咪唑最粗糙。这说明苯并咪唑衍生物BSC6T及BSC8T相比2-氨基苯并咪唑缓蚀效果要好,且BSC8T对碳钢表面的保护最好。上述结果与静态失重、动电位极化曲线及电化学阻抗曲线所得结果均一致。

图6   45碳钢表面形貌的SEM像

Fig.6   SEM images of 45(GB) steel samples before corrosion (a), and after corrosion for 24 h in 1 mol/L HCl without inhibitor (b), with 0.9 g/L 2-aminobenzimidazole (c), 0.9 g/L BSC6T (d) and 0.9 g/L BSC8T (e)

4 结论

(1) 合成了两种苯并咪唑衍生物BSC6T和BSC8T,与2-氨基苯并咪唑相比,在1 mol/L HCl介质中对45碳钢有显著的缓蚀效果,且随着缓蚀剂浓度的增加,缓蚀速率逐渐增加。

(2) 研究范围内缓蚀剂的缓蚀率随着其分子中疏水链的增长而明显提高,其中,BSC8T的缓蚀效果最好。

(3) 动电位极化曲线结果表明,3种缓蚀剂是以阴极为主的混合型缓蚀剂。


参考文献

[1] Li J L, Liang C H, Huang N B, et al.

Progress on research of benzimidazole derivative as corrosion inhibitor

[J]. Corros. Sci. Prot. Technol., 2011, 23(2): 191

[本文引用: 1]     

(李杰兰, 梁成浩, 黄乃宝. 苯并咪唑衍生物缓蚀剂研究进展[J]. 腐蚀科学与防护技术, 2011, 23(2): 191)

[本文引用: 1]     

[2] Hu J C, Li C Z, Yan Q, et al.

Inhibition performance study on benzimidazole and benzimidazole derivatives

[J]. Mater. Prot., 2011, 44(11): 75

(胡建春, 李春志, 严奇.

苯并咪唑及其衍生物的缓蚀性能

[J]. 材料保护, 2011, 44(11): 75)

[3] Li X X, Yang W Z.

Inhibition of 1-proply-2-methly-3-alkylbenzimidazole on Q235 steel in HCl solution

[J]. J. Chin. Soc. Corros. Prot., 2012, 32(2): 168

(李相旭, 杨文忠.

盐酸介质中1-丙基-2-甲基-3-烷基苯并咪唑盐对Q235钢的缓蚀作用

[J]. 中国腐蚀与防护学报, 2012, 32(2): 168)

[4] Khaled K F.

The inhibition of benzimidazole derivatives on corrosion of iron in 1 M HCl solutions

[J]. Electrochim. Acta, 2003, 48(17): 2493

[5] Aljourani J, Raeissi K, Golozar M A.

Benzimidazole and its derivatives as corrosion inhibitors for mild steel in 1 M HCl solution

[J]. Corros. Sci., 2009, 51(8): 1836

[6] Zhang J, Zhao W M, Guo W Y, et al.

Theoretical evaluation of corrosion inhibition performance of benzimidazole corrosion inhibitors

[J]. Acta Phys.-Chim. Sin., 2008, 24(7): 1239

[本文引用: 1]     

(张军, 赵卫民, 郭文跃.

苯并咪唑类缓蚀剂缓蚀性能的理论评价

[J]. 物理化学学报, 2008, 24(7): 1239)

[本文引用: 1]     

[7] Popova A, Christov M, Raicheva S, et al.

Adsorption and inhibitive properties of benzimidazole derivatives in acid mild steel corrosion

[J]. Corros. Sci., 2004, 46(6): 1333

[本文引用: 1]     

[8] Popova A, Christov M, Deligeorgiev T.

Influence of the molecular structure on the inhibitor properties of benzimidazole derivatives on mild steel corrosion in 1 M hydrochloric acid

[J]. Corrosion, 2003, 59(9): 756

[本文引用: 1]     

[9] Li H, Qiu L G, Xie A J, et al.

Adsorption and corrosion inhibition of cationic Gemini surfactants on steel surface in hydrochloric acid

[J]. Corros. Sci. Prot. Technol., 2005, 17(4): 244

[本文引用: 1]     

(刘卉, 裘灵光, 谢安建.

盐酸溶液中阳离子Gemini表面活性剂在碳钢表面的吸附与缓蚀性能研究

[J]. 腐蚀科学与防护技术, 2005, 17(4): 244)

[本文引用: 1]     

[10] Michael L F. Understanding the effect of surfactant aggrega-tion on corrosion inhibition of mild steel in acidic medium[J]. Corros. Sci., 2002, 44: 2865

[本文引用: 1]     

[11] Li X H, Deng S D, Xie X G.

Experimental and theoretical study on corrosion inhibition of oxime compounds for aluminium in HCl solution

[J]. Corros. Sci., 2014, 81: 162

[本文引用: 1]     

[12] Pauline S A, Sahila S, Gopalakrishnan C, et al.

Synthesis, characterization and corrosion protection property of terpolymers derived from poly (MAn-co-MMA) containing benzimidazole derivative as pendant group

[J]. Prog. Org. Coat., 2011, 72(3): 443

[本文引用: 1]     

[13] Sun M Q, Ge J J, Zhang G C, et al.

Relationship between molecular structure of imidazoline and its corrosion inhibition performance in salty solution with saturated CO2

[J]. Petrochem. Technol., 2005, 34(12): 1177

[本文引用: 1]     

(孙铭勤, 葛际江, 张贵才.

饱和CO2盐水中咪唑啉分子结构与其缓蚀性能的关系

[J]. 石油化工, 2005, 34(12): 1177)

[本文引用: 1]     

[14] Cao C N. Principles of Electrochemistry of Corrosion[M]. Beijing: Chemical Industry Press, 2008

[本文引用: 1]     

(曹楚南. 腐蚀电化学原理[M]. 北京: 化学工业出版社, 2008)

[本文引用: 1]     

/