10Cr12Ni3Mo2VN钢属于马氏体耐热钢, 主要用于制造超超临界机组末级叶片, 工作条件恶劣, 对钢材组织性能要求高[1 ,2 ] . 10Cr12Ni3Mo2VN钢一般采用锻造工艺生产, 有关该钢种的热变形行为研究尚未见报道, 因此有必要对该钢种的热变形行为进行研究. 金属热变形过程中在一定变形条件下会发生动态再结晶行为, 完全动态再结晶有利于实现钢材组织的精细化均匀化控制. 迄今为止, 已有大量关于金属动态再结晶的报道[3 -24 ] , 在这些报道中主要通过建立热变形本构方程的方法研究各变形参数对动态再结晶行为的影响规律, 其中, 一些报道[4 -11 ] 还建立了动态再结晶临界应变预测模型. 在建立热变形本构方程时, 部分报道[5 ,9 ,10 ,12 -16 ] 通过偏微分和线性拟合的传统方法进行热变形本构方程求解, 此方法不能一次求解热变形本构方程全部参数, 步骤较多. 曹金荣等[7 ] 提出了一种采用最小平均差优化的方法, 可以一次性获得热变形本构方程, 但计算过程较为复杂. 因此, 寻找一种能够简单有效地求解热变形本构方程的方法具有重要意义.
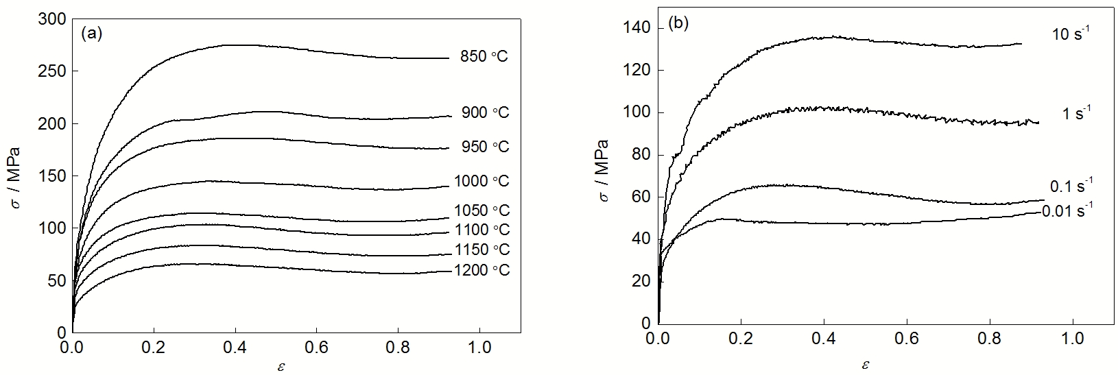
图1 10Cr12Ni3Mo2VN钢在不同温度和应变速率热变形后的真应力-真应变曲线
本工作通过压缩热模拟实验研究了10Cr12Ni3Mo2VN钢热变形行为, 分析了变形参数对10Cr12Ni3Mo2VN钢热变形过程中的动态再结晶行为的影响规律. 分别通过传统直线拟合方法和Levenberg-Marquardt算法建立了热变形过程中的双曲正弦本构方程, 以及临界应变、峰值应变与Zener-Hollomon因子之间的关系, 对10Cr12Ni3Mo2VN钢组织性能的控制具有重要意义.
1 实验方法
试样取自10Cr12Ni3Mo2VN钢回火后的锻材, 化学成分(质量分数, %)为: C 0.11, Si 0.20, Mn 0.75, Cr 11.8, Ni 2.7, Mo 1.7, V 0.3, N 0.042, Fe余量. 试样加工为直径8 mm, 长20 mm的圆柱试样, 等温-恒应变速率压缩实验在Gleeble-1500热模拟试验机上进行.
先将试样以10 ℃/s的加热速率加热至1200 ℃保温3 min, 完成奥氏体化, 然后以10 ℃/s的冷速冷却至变形温度等温60 s, 变形温度分别为850, 900, 950, 1000, 1050, 1100, 1150和1200 ℃. 然后分别以0.01, 0.1, 1和10 s- 1 的应变速率进行等温-恒应变速率压缩, 最大压缩量为60%, 压缩过程中记录位移-载荷曲线, 压缩完成后立刻喷水冷却至室温.
压缩后试样沿轴线剖开, 试样抛光后采用配比为40 g NaOH+100 mL H2 O的NaOH水溶液进行电解浸蚀, 显示晶界, 然后采用Axio Scope A1型光学显微镜(OM)进行观察.
2 结果与讨论
2.1 真应力-真应变曲线和组织形貌
10Cr12Ni3Mo2VN钢热变形过程中的真应力-真应变曲线如图1所示. 由图可知, 各变形条件下应力s 随应变e 增大均出现明显峰值, 表明发生动态再结晶[7 ] , 且随变形温度降低和应变速率升高, 峰值应力s p 增大, 峰值应力对应的峰值应变e p 增大.
图2 10Cr12Ni3Mo2VN钢在0.1 s- 1 应变速率下在不同变形温度压缩60%后的显微组织
在不同变形温度下, 以0.1 s- 1 应变速率压缩60%后10Cr12Ni3Mo2VN钢的显微形貌如图2所示. 由图可知, 随变形温度升高, 动态再结晶晶粒体积分数升高, 1150 ℃以上发生完全动态再结晶, 且随变形温度升高再结晶后晶粒尺寸增加, 这是由于温度越高, 原子热激活能量越高, 元素扩散、位错滑移和攀移以及晶界迁移的驱动力更大, 更容易发生动态再结晶[10 ] . 图3和4分别为变形温度1200 ℃, 以不同应变速率及不同压下量变形后10Cr12Ni3Mo2VN钢的显微组织. 由图3可知, 1200 ℃时以0.01, 0.1, 1和10 s- 1 的应变速率压缩60%后试样均能发生完全动态再结晶, 且随应变速率降低, 再结晶后平均晶粒尺寸增大, 其中应变速率较高时(1和10 s- 1 ), 再结晶后晶粒为等轴状(图3a和b), 而应变速率较低时(0.01和0.1 s- 1 ), 再结晶后呈混晶形貌. 由图4可以看出, 在1200 ℃以0.1 s- 1 的应变速率压缩30%后即已发生完全动态再结晶(图4a), 随变形量继续增大, 再结晶晶粒再次细化. 低应变速率下, 动态再结晶后显微组织呈混晶形貌以及随变形量增大晶粒再次细化, 这是由于低应变速率下, 临界变形量较低, 部分区域首先发生动态再结晶, 这些新生成的再结晶晶粒有足够的时间长大, 随应变量增加, 晶粒长大与变形同时进行, 当变形量再次达到临界变形量时发生新一轮动态再结晶, 出现细小的新的再结晶晶粒(图3d和4c), 而新一轮的动态再结晶为部分动态再结晶, 并未发生完全动态再结晶, 因此导致最终晶粒形状不规则, 呈混晶形貌.
图3 10Cr12Ni3Mo2VN钢在1200 ℃以不同应变速率压缩60%后的显微组织
图4 10Cr12Ni3Mo2VN钢在1200 ℃以0.1 s- 1 应变速率不同压缩量变形的显微组织
Fig.4 Microstructures of steel 10Cr12Ni3Mo2VN after compressed 30% (a), 40% (b), 50% (c) and 60% (d) at 1200 ℃ with strain rate 0.1 s- 1
2.2 传统直线拟合方法求解热变形本构方程
金属材料热变形过程中变形温度、应变速率与峰值应力之间的关系为[13 ,14 ] :
(1) ε ˙ = A 1 σ p n 1 e x p ( - Q / ( R T ) ) ( α σ p < 0.8 )
(2) ε ˙ = A 2 e x p ( β σ p ) e x p ( - Q / ( R T ) ) ( α σ p > 1 . 2 )
(3) ε ˙ = A [ s i n h ( α σ p ) ] n e x p ( - Q / ( R T ) )
式中, ε ˙ 为应变速率, s- 1 ; A, A1 , A2 , a , b , n, n1 为材料常数, a =b /n1 ; Q为热变形激活能, J/mol; T为变形温度, K; R为气体常数, 8.3145 J/(mol·K). 式(1)适用于峰值应力值较低时(as p <0.8), 式(2)适用于峰值应力值较高时(as p >1.2), 式(3)所示的双曲正弦函数适用于较宽的范围, 且能更好地描述变形参数与峰值应力之间的关系. 传统求解方法是首先求解b 和n1 , 然后求得a 近似值, 再对其它参数进行求解.
对式(1)和(2)两边分别取自然对数可得:
(4) l n ε ˙ = l n A 1 + n 1 l n σ p - Q / ( R T )
(5) l n ε ˙ = l n A 2 + β σ p - Q / ( R T )
当变形温度恒定时, 利用偏微分可求得:
(6) n 1 = ∂ l n ε ˙ ∂ l n σ p T
(7) β = ∂ l n ε ˙ ∂ σ p T
根据式(6)和(7)可知, n1 和b 分别可以通过ln ε ˙ - lns p 和ln ε ˙ - s p 关系曲线斜率得到. 由于式(1)适用于低峰值应力, 式(2)适用于高峰值应力, 因此, 分别以变形温度为1050~1200 ℃时的数据拟合ln ε ˙ - lns p 关系曲线和以变形温度为850~1000 ℃时的数据拟合ln ε ˙ - s p 关系曲线, 结果如图5a和b所示. 得到n1 的平均值为6.7348, b 的平均值为0.03858, 由此得到a =b /n1 =0.00573.
图5 Relationships between strain rate ε̇ and peak stressσp (k—slope) (a) ln ε̇ -ln σp (b) ln ε̇ - σp
Fig.5
图6 峰值应力与应变速率和变形温度之间的关系
Fig.6 Relationships between peak stress and strain rate,peak stress and deformation temperature T( α—material constant) (a) lnε̇ -ln[sinh(ασp)] (b) ln[sinh(ασp)]-1/T
对式(3)两边分别取自然对数可得:
(8) l n ε ˙ + Q / ( R T ) = l n A + n l n s i n h α σ p
当分别假定变形温度和应变速率不变时, 利用偏微分可得:
图7 ln ε̇ +Q/(RT)与ln[sinh( ασp)]的关系
Fig.7 Relationships between ln ε̇ +Q/(RT) and ln[sinh(ασp)] (Q—hot deformation activation energy, R21 —determination coefficient, R—gas constant)
(9) n = ∂ l n ε ˙ ∂ l n s i n h α σ p T
(10) Q = R n ∂ l n s i n h α σ p ∂ 1 / T ε ˙
根据式(9)和(10)可知, n和Q分别可以通过ln ε ˙ - ln[sinh(as p )]和ln[sinh(as p )]-1/T关系曲线斜率得到, 结果如图6所示, 根据拟合直线斜率可得平均值: n=5.799, Q=382.219 kJ/mol.
A值可通过ln ε ˙ +Q/(RT)-ln[sinh(as p )]关系曲线求得, 图7为ln ε ˙ +Q/(RT)-ln[sinh(as p )]关系曲线. 根据曲线关系可得: n=5.774, lnA=34.31, A=7.95×1014 .
引入Zener-Hollomon因子(Z因子)[4 -5 ,13 ] :
(11) Z = ε ˙ e x p Q / ( R T )
由此得到热变形双曲正弦本构模型:
Z = ε ˙ e x p Q / ( R T ) = A s i n h α σ p n =
ε ˙ e x p 382219 / ( R T ) =
(12) 7.95 × 10 14 s i n h 0.00573 σ p 5.7736
2.3 基于Levenberg-Marquardt算法的新型热变形本构方程求解方法
目前报道的动态再结晶双曲正弦本构方程的求解方法基本采用前文所述传统求解方法[5 ,9 ,10 ,12 -16 ] , 通过式(1)和(2)对数据进行拟合, 分别求得局部范围内的参数b 和n1 值, 然后求出式(3)中参数a 的近似解, 此时求得的a 值并非所有数据的全局解. 此外双曲正弦模型中的参数n和Q也是各变形参数下拟合得到的近似平均值, 而非最优解, 且传统方法求解过程中需多次拟合, 步骤复杂, 不能一次求得所有参数.
本工作在数据分析过程中发现借助于Matlab数据分析软件, 采用最小二乘法中的Levenberg-Marquardt算法可以一次性拟合求得动态再结晶双曲正弦本构方程中各参数的全局优化解. Levenberg-Marquardt算法是一种发展成熟且运用广泛的算法, Matlab数据分析软件中有成熟的算法模型, 采用此方法能更好地考虑全局数据与各参数之间的关系, 且步骤简单.
图8 σ p 实验值与预测值的相关性
Fig.8 Correlation between the experimental and predicted σ p from the constitutive equation derived from classical (a) and Levenberg-Marquardt (b) algorithms
由于动态再结晶双曲正弦本构方程为高度非线性函数, 为提高拟合精度, 首先对式(3)进行变形:
(13) A s i n h α σ p n = ε ˙ e x p Q / ( R T ) ⇒
(13) σ p = 1 α ∙ a r c s i n h e x p 1 n l n ε ˙ + 1 n ∙ Q R ∙ 1 T - 1 n l n A
令: y = σ p , x 1 = l n ε ˙ , x 2 = 1 T , p 1 = 1 n , p 2 = 1 n ∙ Q R , p 3 = 1 n l n A , p 4 = 1 α , 得到:
(14) y = p 4 ∙ a r c s i n h e x p p 1 ∙ x 1 + p 2 ∙ x 2 - p 3
代入实验数据, 利用Matlab数据分析软件采用Levenberg-Marquardt算法对式(14)进行拟合求解. Levenberg-Marquardt算法计算过程中需要设定合适的初始值以便于计算的收敛, 根据文献[5,7,12~14]的报道可知, 各类钢的双曲正弦本构方程系数a , n, Q和lnA的值相差不大, 都处于同一数量级, Levenberg-Marquardt算法计算表明, 选用文献[5,7,12~14]中任一钢种的a , n, Q和lnA值所得p1 , p2 , p3 和p4 作为初始值均能获得很好的收敛效果, 且最终求解结果几乎没有差别.
采用Levenberg-Marquardt算法一次性拟合求解得到:
p 1 = 0.15175 p 2 = 7164.439 p 3 = 5.622 p 4 = 217.874 ⇒ α = 0.00459 n = 6.59 Q = 391.938 k J / m o l l n A = 37.04
由此得到热变形双曲正弦本构模型:
Z = ε ˙ e x p Q / ( R T ) = A s i n h α σ p n = ε ˙ e x p 391938 / ( R T ) =
(15) 1.22 × 10 16 s i n h 0.00459 σ p 6.59
分别将采用传统方法求解所得参数值与采用Levenberg-Marquardt算法求解所得参数值代入式(13), 计算不同变形参数下的理论峰值应力, s p 实测值与理论计算值之间的关系如图8所示. 由图可知, 传统算法和Levenberg-Marquardt算法所得预测值与实际测量值之间的相关性较高, 判定系数 R 1 2 相近, 均达0.99以上. 同时, 这里引入平均相对误差d [13 ] :
(16) δ = 1 N ∑ i = 1 N σ e - σ t σ e
式中, s e 为峰值应力实测值, s t 为利用本构方程计算所得峰值应力预测值, N为实验数据个数(N=32), 计算得出, 传统算法和Levenberg-Marquardt算法所得预测值与实际测量值之间的平均相对误差分别为3.5%和3.6%.
此外, 变形温度分别为1100和1200 ℃, 应变速率0.01 s- 1 时, 10Cr12Ni3Mo2VN钢的峰值应力分别为66.9和49.8 MPa, 采用传统方法和Levenberg-Marquardt算法求解本构方程过程中均未将这2个数据纳入拟合过程. 传统方法所得本构方程的对变形温度1100和1200 ℃, 应变速率0.01 s- 1 时的峰值应力预测值分别为66.47和45.42 MPa, Levenberg-Marquardt算法预测值为67.82和49.98 MPa.
图9 10Cr12Ni3Mo2VN钢的加工硬化率-真应力(θ-σ )曲线
上述分析表明, 采用传统算法和Levenberg-Marquardt算法建立的本构方程均具有较高的预测精度. 同时, 采用Levenberg-Marquardt算法求解所得热变形本构方程中各项系数值与采用传统方法所得系数值相近, 表明利用Levenberg-Marquardt算法求解热变形本构方程的方法是可靠的. 而相比于传统方法, 采用Levenberg-Marquardt算法可一次性计算获得双曲正弦本构方程所有系数, 步骤更加简单.
图10 10Cr12Ni3Mo2VN钢的dθ /dσ -σ曲线和不同变形温度下的ε c 和ε p
2.4 临界应变预测模型
动态再结晶临界应变e c 的确定对于研究热变形非常重要, 目前临界应变的测定主要有金相法和通过加工硬化率-应力(q -s )曲线特征点(q =ds /de )测量[7 ,21 ] . 其中金相法实验工作量大, 操作复杂, 难以精确测量e c . 本工作通过q -s 曲线特征点测量e c , 并建立e c , e p 与Z因子之间的关系模型(e p 为峰值应力对应的应变量), 用以预测不同变形参数下的应变特征值.
由于加工硬化率q 的求解过程是对应力-应变曲线的微分过程, 而实际实验记录过程中由于仪器的原因, 记录的并不是光滑的曲线, 而是一系列上下浮动的数据点, 因此首先对原始数据进行曲线拟合, 以获得光滑曲线. 应变速率为1 s- 1 , 部分变形温度下10Cr12Ni3Mo2VN钢的q -s 曲线如图9所示. 由图可见, 随应变量增大, 由于发生动态回复作用, 加工硬化率逐渐降低, 当应变量达到临界应变时, 发生动态再结晶, 软化作用增大, 加剧了加工硬化率的降低速率, 表现在q -s 曲线上出现拐点, 而直接从q -s 曲线上很难精确测量拐点值, 文献[20,25,26]计算得出, 当dq 2 /ds 2 =0时, 对应q -s 曲线上拐点, 即dq /ds 出现极值时, 开始发生动态再结晶. 图10a所示为应变速率10 s- 1 的s -dq /ds 曲线, 可以较为准确的测定临界应变ε c . 图10b所示为应变速率为10 s- 1 时的e c 和e p .
当初始晶粒尺寸一定时, e c , e p 与Z因子之间存在如下关系[5 ,7 ] :
(17) ε c = B 1 Z m 1 ε p = B 2 Z m 2
式中, B1 , B2 , m1 , m2 为材料常数. 由式(17)可知, B1 , B2 , m1 , m2 可通过lne c -lnZ和lne p -lnZ关系曲线求得, 如图11所示. 由此可得:
(18) ε c = 0.0391 Z 0.0375 ε p = 0.1003 Z 0.0429
根据上述公式能够预测一定变形条件下的临界应变和峰值应变, 对10Cr12Ni3Mo2VN钢热加工工艺的制定提供理论依据.
图11 lnε c 和lnε p 与lnZ的关系
Fig.11 Relationship between lnε c , lnε p and lnZ (Z—Zener-Hollomon parameter)
3 结论
(1) 10Cr12Ni3Mo2VN钢在高温和高应变速率(1和10 s- 1 )变形后再结晶晶粒呈等轴状, 低应变速率下(0.01和0.1 s- 1 )变形后再结晶晶粒呈混晶形貌, 这是由于低应变速率下, 再结晶晶粒有足够时间长大, 晶粒长大和变形同时进行, 再次达到临界变形量时发生新的动态再结晶, 而新一轮的动态再结晶为部分动态再结晶, 导致出现混晶组织.
(2) 提出了利用Levenberg-Marquardt算法建立热变形双曲正弦本构方程的方法, 通过传统直线拟合方法和Levenberg-Marquardt算法分别建立了热变形双曲正弦本构方程, 均具有较高的预测精度. 与传统直线拟合方法相比, 采用Levenberg-Marquardt算法求解步骤简单, 可以一次性求解所有材料参数, 求解结果可信.
(3) 利用10Cr12Ni3Mo2VN钢的加工硬化率-应力曲线, 通过二次求导, 准确测得临界应变, 拟合得出临界应变、峰值应变与Zener-Hollomon因子的关系方程, 可以预测一定变形条件下的临界应变和峰值应变, 为10Cr12Ni3Mo2VN钢热加工工艺的制定提供理论依据.
参考文献
文献选项
[1]
Xie X L , Yang G , Chen J C , Yang G X , Fan H . Heat Treat , 2009 ; 24 (5 ): 35
[本文引用: 1]
(谢学林 , 杨 钢 , 陈敬超 , 杨功显 , 范 华 . 热处理 , 2009 ; 24 (5 ): 35 )
[本文引用: 1]
[2]
Masuyama F . ISIJ Int , 2001 ; 41 : 612
[本文引用: 1]
[3]
McQueen H J . Mater Sci Eng , 2004 ; A387 : 203
[本文引用: 1]
[4]
Fernández A I , Uranga P , Lopez B , Rodriguez-Ibabe J M . Mater Sci Eng , 2003 ; A361 : 367
[本文引用: 2]
[5]
Quan G Z , Li G S , Chen T , Wang Y X , Zhang Y W , Zhou J . Mater Sci Eng , 2011 ; A528 : 4643
[本文引用: 4]
[6]
Chen M S , Lin Y C , Ma X S . Mater Sci Eng , 2012 ; A556 : 260
[7]
Cao J R , Liu Z D , Cheng S C , Yang G , Xie J X . Acta Metall Sin , 2007 ; 43 : 35
[本文引用: 4]
(曹金荣 , 刘正东 , 程世长 , 杨 钢 , 谢建新 . 金属学报 , 2007 ; 43 : 35 )
[本文引用: 4]
[8]
Wu L Z , Li X S , Chen J , Zhang H B , Cui Z S . J Iron Steel Res Int , 2010 ; 17 (7 ): 51
[9]
Tan Z L , Xiang S . Trans Mater Heat Treat , 2013 ; 34 (5 ): 42
[本文引用: 2]
(谭智林 , 向 嵩 . 材料热处理学报 , 2013 ; 34 (5 ): 42 )
[本文引用: 2]
[10]
Wei J , Tang G B , Liu Z D . J Iron Steel Res , 2008 ; 20 (3 ): 31
[本文引用: 3]
(魏 洁 , 唐广波 , 刘正东 . 钢铁研究学报 , 2008 ; 20 (3 ): 31 )
[本文引用: 3]
[11]
Dehghan-Manshadi A , Barnett M R , Hodgson P D . Metall Mater Trans , 2008 ; 39A : 1359
[本文引用: 1]
[12]
Song R B , Zhang Y K , Wen X L , Jia Y S . Acta Metall Sin , 2011 ; 47 : 34
[本文引用: 2]
(宋仁伯 , 张永坤 , 文新理 , 贾翼速 . 金属学报 , 2011 ; 47 : 34 )
[本文引用: 2]
[13]
Wei H L , Liu G Q , Xiao X , Zhang M H . Acta Metall Sin , 2013 ; 49 : 731
[本文引用: 3]
(魏海莲 , 刘国权 , 肖 翔 , 张明赫 . 金属学报 , 2013 ; 49 : 731 )
[本文引用: 3]
[14]
Chen L , Wang L M , Du X J , Liu X . Acta Metall Sin , 2010 ; 46 : 52
[本文引用: 1]
(陈 雷 , 王龙妹 , 杜晓建 , 刘 晓 . 金属学报 , 2010 ; 46 : 52 )
[本文引用: 1]
[15]
Wang Z X , Liu X F , Xie J X . Acta Metall Sin , 2008 ; 44 : 1378
(王智祥 , 刘雪峰 , 谢建新 . 金属学报 , 2008 ; 44 : 1378 )
[16]
McQueen H J , Ryan N D . Mater Sci Eng , 2002 ; A322 : 43
[本文引用: 2]
[17]
Jia B , Peng Y . Acta Metall Sin , 2011 ; 47 : 507
(贾 斌 , 彭 艳 . 金属学报 , 2011 ; 47 : 507 )
[18]
Cao Y , Di H S , Zhang J Q , Ma T J , Zhang J C . Acta Metall Sin , 2013 ; 49 : 811
(曹 宇 , 邸洪双 , 张敬奇 , 马天军 , 张洁岑 . 金属学报 , 2013 ; 49 : 811 )
[19]
Kim S I , Yoo Y C . Mater Sci Eng , 2001 ; A311 : 108
[20]
Jonas J J , Quelennec X , Jiang L , Martin É . Acta Mater , 2009 ; 57 : 2748
[21]
Dehghan-Manshadi A , Barnett M R , Hodgson P D . Mater Sci Eng , 2008 ; A485 : 664
[本文引用: 1]
[22]
Belyakov A , Miura H , Sakai T . Mater Sci Eng , 1998 ; A255 : 139
[23]
El Wahabi M , Cabrera J M , Prado J M . Mater Sci Eng , 2003 ; A343 : 116
[24]
Cho J R , Jeong H S , Cha D J , Bae W B , Lee J W . J Mater Process Technol , 2005 ; 160 : 1
[本文引用: 1]
[25]
Poliak E I , Jonas J J . Acta Mater , 1996 ; 44 : 127
[26]
Laasraoui A , Jonas J J . Metall Trans , 1991 ; 22A : 1545
1
2009
... 10Cr12Ni3Mo2VN钢属于马氏体耐热钢, 主要用于制造超超临界机组末级叶片, 工作条件恶劣, 对钢材组织性能要求高[1 ,2 ] . 10Cr12Ni3Mo2VN钢一般采用锻造工艺生产, 有关该钢种的热变形行为研究尚未见报道, 因此有必要对该钢种的热变形行为进行研究. 金属热变形过程中在一定变形条件下会发生动态再结晶行为, 完全动态再结晶有利于实现钢材组织的精细化均匀化控制. 迄今为止, 已有大量关于金属动态再结晶的报道[3 -24 ] , 在这些报道中主要通过建立热变形本构方程的方法研究各变形参数对动态再结晶行为的影响规律, 其中, 一些报道[4 -11 ] 还建立了动态再结晶临界应变预测模型. 在建立热变形本构方程时, 部分报道[5 ,9 ,10 ,12 -16 ] 通过偏微分和线性拟合的传统方法进行热变形本构方程求解, 此方法不能一次求解热变形本构方程全部参数, 步骤较多. 曹金荣等[7 ] 提出了一种采用最小平均差优化的方法, 可以一次性获得热变形本构方程, 但计算过程较为复杂. 因此, 寻找一种能够简单有效地求解热变形本构方程的方法具有重要意义. ...
1
2009
... 10Cr12Ni3Mo2VN钢属于马氏体耐热钢, 主要用于制造超超临界机组末级叶片, 工作条件恶劣, 对钢材组织性能要求高[1 ,2 ] . 10Cr12Ni3Mo2VN钢一般采用锻造工艺生产, 有关该钢种的热变形行为研究尚未见报道, 因此有必要对该钢种的热变形行为进行研究. 金属热变形过程中在一定变形条件下会发生动态再结晶行为, 完全动态再结晶有利于实现钢材组织的精细化均匀化控制. 迄今为止, 已有大量关于金属动态再结晶的报道[3 -24 ] , 在这些报道中主要通过建立热变形本构方程的方法研究各变形参数对动态再结晶行为的影响规律, 其中, 一些报道[4 -11 ] 还建立了动态再结晶临界应变预测模型. 在建立热变形本构方程时, 部分报道[5 ,9 ,10 ,12 -16 ] 通过偏微分和线性拟合的传统方法进行热变形本构方程求解, 此方法不能一次求解热变形本构方程全部参数, 步骤较多. 曹金荣等[7 ] 提出了一种采用最小平均差优化的方法, 可以一次性获得热变形本构方程, 但计算过程较为复杂. 因此, 寻找一种能够简单有效地求解热变形本构方程的方法具有重要意义. ...
1
2001
... 10Cr12Ni3Mo2VN钢属于马氏体耐热钢, 主要用于制造超超临界机组末级叶片, 工作条件恶劣, 对钢材组织性能要求高[1 ,2 ] . 10Cr12Ni3Mo2VN钢一般采用锻造工艺生产, 有关该钢种的热变形行为研究尚未见报道, 因此有必要对该钢种的热变形行为进行研究. 金属热变形过程中在一定变形条件下会发生动态再结晶行为, 完全动态再结晶有利于实现钢材组织的精细化均匀化控制. 迄今为止, 已有大量关于金属动态再结晶的报道[3 -24 ] , 在这些报道中主要通过建立热变形本构方程的方法研究各变形参数对动态再结晶行为的影响规律, 其中, 一些报道[4 -11 ] 还建立了动态再结晶临界应变预测模型. 在建立热变形本构方程时, 部分报道[5 ,9 ,10 ,12 -16 ] 通过偏微分和线性拟合的传统方法进行热变形本构方程求解, 此方法不能一次求解热变形本构方程全部参数, 步骤较多. 曹金荣等[7 ] 提出了一种采用最小平均差优化的方法, 可以一次性获得热变形本构方程, 但计算过程较为复杂. 因此, 寻找一种能够简单有效地求解热变形本构方程的方法具有重要意义. ...
1
2004
... 10Cr12Ni3Mo2VN钢属于马氏体耐热钢, 主要用于制造超超临界机组末级叶片, 工作条件恶劣, 对钢材组织性能要求高[1 ,2 ] . 10Cr12Ni3Mo2VN钢一般采用锻造工艺生产, 有关该钢种的热变形行为研究尚未见报道, 因此有必要对该钢种的热变形行为进行研究. 金属热变形过程中在一定变形条件下会发生动态再结晶行为, 完全动态再结晶有利于实现钢材组织的精细化均匀化控制. 迄今为止, 已有大量关于金属动态再结晶的报道[3 -24 ] , 在这些报道中主要通过建立热变形本构方程的方法研究各变形参数对动态再结晶行为的影响规律, 其中, 一些报道[4 -11 ] 还建立了动态再结晶临界应变预测模型. 在建立热变形本构方程时, 部分报道[5 ,9 ,10 ,12 -16 ] 通过偏微分和线性拟合的传统方法进行热变形本构方程求解, 此方法不能一次求解热变形本构方程全部参数, 步骤较多. 曹金荣等[7 ] 提出了一种采用最小平均差优化的方法, 可以一次性获得热变形本构方程, 但计算过程较为复杂. 因此, 寻找一种能够简单有效地求解热变形本构方程的方法具有重要意义. ...
2
2003
... 10Cr12Ni3Mo2VN钢属于马氏体耐热钢, 主要用于制造超超临界机组末级叶片, 工作条件恶劣, 对钢材组织性能要求高[1 ,2 ] . 10Cr12Ni3Mo2VN钢一般采用锻造工艺生产, 有关该钢种的热变形行为研究尚未见报道, 因此有必要对该钢种的热变形行为进行研究. 金属热变形过程中在一定变形条件下会发生动态再结晶行为, 完全动态再结晶有利于实现钢材组织的精细化均匀化控制. 迄今为止, 已有大量关于金属动态再结晶的报道[3 -24 ] , 在这些报道中主要通过建立热变形本构方程的方法研究各变形参数对动态再结晶行为的影响规律, 其中, 一些报道[4 -11 ] 还建立了动态再结晶临界应变预测模型. 在建立热变形本构方程时, 部分报道[5 ,9 ,10 ,12 -16 ] 通过偏微分和线性拟合的传统方法进行热变形本构方程求解, 此方法不能一次求解热变形本构方程全部参数, 步骤较多. 曹金荣等[7 ] 提出了一种采用最小平均差优化的方法, 可以一次性获得热变形本构方程, 但计算过程较为复杂. 因此, 寻找一种能够简单有效地求解热变形本构方程的方法具有重要意义. ...
... 引入Zener-Hollomon因子(Z因子)[4 -5 ,13 ] : ...
4
2011
... 10Cr12Ni3Mo2VN钢属于马氏体耐热钢, 主要用于制造超超临界机组末级叶片, 工作条件恶劣, 对钢材组织性能要求高[1 ,2 ] . 10Cr12Ni3Mo2VN钢一般采用锻造工艺生产, 有关该钢种的热变形行为研究尚未见报道, 因此有必要对该钢种的热变形行为进行研究. 金属热变形过程中在一定变形条件下会发生动态再结晶行为, 完全动态再结晶有利于实现钢材组织的精细化均匀化控制. 迄今为止, 已有大量关于金属动态再结晶的报道[3 -24 ] , 在这些报道中主要通过建立热变形本构方程的方法研究各变形参数对动态再结晶行为的影响规律, 其中, 一些报道[4 -11 ] 还建立了动态再结晶临界应变预测模型. 在建立热变形本构方程时, 部分报道[5 ,9 ,10 ,12 -16 ] 通过偏微分和线性拟合的传统方法进行热变形本构方程求解, 此方法不能一次求解热变形本构方程全部参数, 步骤较多. 曹金荣等[7 ] 提出了一种采用最小平均差优化的方法, 可以一次性获得热变形本构方程, 但计算过程较为复杂. 因此, 寻找一种能够简单有效地求解热变形本构方程的方法具有重要意义. ...
... 引入Zener-Hollomon因子(Z因子)[4 -5 ,13 ] : ...
... 目前报道的动态再结晶双曲正弦本构方程的求解方法基本采用前文所述传统求解方法[5 ,9 ,10 ,12 -16 ] , 通过式(1)和(2)对数据进行拟合, 分别求得局部范围内的参数b 和n1 值, 然后求出式(3)中参数a 的近似解, 此时求得的a 值并非所有数据的全局解. 此外双曲正弦模型中的参数n和Q也是各变形参数下拟合得到的近似平均值, 而非最优解, 且传统方法求解过程中需多次拟合, 步骤复杂, 不能一次求得所有参数. ...
... 当初始晶粒尺寸一定时, e c , e p 与Z因子之间存在如下关系[5 ,7 ] : ...
4
2007
... 10Cr12Ni3Mo2VN钢属于马氏体耐热钢, 主要用于制造超超临界机组末级叶片, 工作条件恶劣, 对钢材组织性能要求高[1 ,2 ] . 10Cr12Ni3Mo2VN钢一般采用锻造工艺生产, 有关该钢种的热变形行为研究尚未见报道, 因此有必要对该钢种的热变形行为进行研究. 金属热变形过程中在一定变形条件下会发生动态再结晶行为, 完全动态再结晶有利于实现钢材组织的精细化均匀化控制. 迄今为止, 已有大量关于金属动态再结晶的报道[3 -24 ] , 在这些报道中主要通过建立热变形本构方程的方法研究各变形参数对动态再结晶行为的影响规律, 其中, 一些报道[4 -11 ] 还建立了动态再结晶临界应变预测模型. 在建立热变形本构方程时, 部分报道[5 ,9 ,10 ,12 -16 ] 通过偏微分和线性拟合的传统方法进行热变形本构方程求解, 此方法不能一次求解热变形本构方程全部参数, 步骤较多. 曹金荣等[7 ] 提出了一种采用最小平均差优化的方法, 可以一次性获得热变形本构方程, 但计算过程较为复杂. 因此, 寻找一种能够简单有效地求解热变形本构方程的方法具有重要意义. ...
... 10Cr12Ni3Mo2VN钢热变形过程中的真应力-真应变曲线如图1所示. 由图可知, 各变形条件下应力s 随应变e 增大均出现明显峰值, 表明发生动态再结晶[7 ] , 且随变形温度降低和应变速率升高, 峰值应力s p 增大, 峰值应力对应的峰值应变e p 增大. ...
... 动态再结晶临界应变e c 的确定对于研究热变形非常重要, 目前临界应变的测定主要有金相法和通过加工硬化率-应力(q -s )曲线特征点(q =ds /de )测量[7 ,21 ] . 其中金相法实验工作量大, 操作复杂, 难以精确测量e c . 本工作通过q -s 曲线特征点测量e c , 并建立e c , e p 与Z因子之间的关系模型(e p 为峰值应力对应的应变量), 用以预测不同变形参数下的应变特征值. ...
... 当初始晶粒尺寸一定时, e c , e p 与Z因子之间存在如下关系[5 ,7 ] : ...
4
2007
... 10Cr12Ni3Mo2VN钢属于马氏体耐热钢, 主要用于制造超超临界机组末级叶片, 工作条件恶劣, 对钢材组织性能要求高[1 ,2 ] . 10Cr12Ni3Mo2VN钢一般采用锻造工艺生产, 有关该钢种的热变形行为研究尚未见报道, 因此有必要对该钢种的热变形行为进行研究. 金属热变形过程中在一定变形条件下会发生动态再结晶行为, 完全动态再结晶有利于实现钢材组织的精细化均匀化控制. 迄今为止, 已有大量关于金属动态再结晶的报道[3 -24 ] , 在这些报道中主要通过建立热变形本构方程的方法研究各变形参数对动态再结晶行为的影响规律, 其中, 一些报道[4 -11 ] 还建立了动态再结晶临界应变预测模型. 在建立热变形本构方程时, 部分报道[5 ,9 ,10 ,12 -16 ] 通过偏微分和线性拟合的传统方法进行热变形本构方程求解, 此方法不能一次求解热变形本构方程全部参数, 步骤较多. 曹金荣等[7 ] 提出了一种采用最小平均差优化的方法, 可以一次性获得热变形本构方程, 但计算过程较为复杂. 因此, 寻找一种能够简单有效地求解热变形本构方程的方法具有重要意义. ...
... 10Cr12Ni3Mo2VN钢热变形过程中的真应力-真应变曲线如图1所示. 由图可知, 各变形条件下应力s 随应变e 增大均出现明显峰值, 表明发生动态再结晶[7 ] , 且随变形温度降低和应变速率升高, 峰值应力s p 增大, 峰值应力对应的峰值应变e p 增大. ...
... 动态再结晶临界应变e c 的确定对于研究热变形非常重要, 目前临界应变的测定主要有金相法和通过加工硬化率-应力(q -s )曲线特征点(q =ds /de )测量[7 ,21 ] . 其中金相法实验工作量大, 操作复杂, 难以精确测量e c . 本工作通过q -s 曲线特征点测量e c , 并建立e c , e p 与Z因子之间的关系模型(e p 为峰值应力对应的应变量), 用以预测不同变形参数下的应变特征值. ...
... 当初始晶粒尺寸一定时, e c , e p 与Z因子之间存在如下关系[5 ,7 ] : ...
2
2013
... 10Cr12Ni3Mo2VN钢属于马氏体耐热钢, 主要用于制造超超临界机组末级叶片, 工作条件恶劣, 对钢材组织性能要求高[1 ,2 ] . 10Cr12Ni3Mo2VN钢一般采用锻造工艺生产, 有关该钢种的热变形行为研究尚未见报道, 因此有必要对该钢种的热变形行为进行研究. 金属热变形过程中在一定变形条件下会发生动态再结晶行为, 完全动态再结晶有利于实现钢材组织的精细化均匀化控制. 迄今为止, 已有大量关于金属动态再结晶的报道[3 -24 ] , 在这些报道中主要通过建立热变形本构方程的方法研究各变形参数对动态再结晶行为的影响规律, 其中, 一些报道[4 -11 ] 还建立了动态再结晶临界应变预测模型. 在建立热变形本构方程时, 部分报道[5 ,9 ,10 ,12 -16 ] 通过偏微分和线性拟合的传统方法进行热变形本构方程求解, 此方法不能一次求解热变形本构方程全部参数, 步骤较多. 曹金荣等[7 ] 提出了一种采用最小平均差优化的方法, 可以一次性获得热变形本构方程, 但计算过程较为复杂. 因此, 寻找一种能够简单有效地求解热变形本构方程的方法具有重要意义. ...
... 目前报道的动态再结晶双曲正弦本构方程的求解方法基本采用前文所述传统求解方法[5 ,9 ,10 ,12 -16 ] , 通过式(1)和(2)对数据进行拟合, 分别求得局部范围内的参数b 和n1 值, 然后求出式(3)中参数a 的近似解, 此时求得的a 值并非所有数据的全局解. 此外双曲正弦模型中的参数n和Q也是各变形参数下拟合得到的近似平均值, 而非最优解, 且传统方法求解过程中需多次拟合, 步骤复杂, 不能一次求得所有参数. ...
2
2013
... 10Cr12Ni3Mo2VN钢属于马氏体耐热钢, 主要用于制造超超临界机组末级叶片, 工作条件恶劣, 对钢材组织性能要求高[1 ,2 ] . 10Cr12Ni3Mo2VN钢一般采用锻造工艺生产, 有关该钢种的热变形行为研究尚未见报道, 因此有必要对该钢种的热变形行为进行研究. 金属热变形过程中在一定变形条件下会发生动态再结晶行为, 完全动态再结晶有利于实现钢材组织的精细化均匀化控制. 迄今为止, 已有大量关于金属动态再结晶的报道[3 -24 ] , 在这些报道中主要通过建立热变形本构方程的方法研究各变形参数对动态再结晶行为的影响规律, 其中, 一些报道[4 -11 ] 还建立了动态再结晶临界应变预测模型. 在建立热变形本构方程时, 部分报道[5 ,9 ,10 ,12 -16 ] 通过偏微分和线性拟合的传统方法进行热变形本构方程求解, 此方法不能一次求解热变形本构方程全部参数, 步骤较多. 曹金荣等[7 ] 提出了一种采用最小平均差优化的方法, 可以一次性获得热变形本构方程, 但计算过程较为复杂. 因此, 寻找一种能够简单有效地求解热变形本构方程的方法具有重要意义. ...
... 目前报道的动态再结晶双曲正弦本构方程的求解方法基本采用前文所述传统求解方法[5 ,9 ,10 ,12 -16 ] , 通过式(1)和(2)对数据进行拟合, 分别求得局部范围内的参数b 和n1 值, 然后求出式(3)中参数a 的近似解, 此时求得的a 值并非所有数据的全局解. 此外双曲正弦模型中的参数n和Q也是各变形参数下拟合得到的近似平均值, 而非最优解, 且传统方法求解过程中需多次拟合, 步骤复杂, 不能一次求得所有参数. ...
3
2008
... 10Cr12Ni3Mo2VN钢属于马氏体耐热钢, 主要用于制造超超临界机组末级叶片, 工作条件恶劣, 对钢材组织性能要求高[1 ,2 ] . 10Cr12Ni3Mo2VN钢一般采用锻造工艺生产, 有关该钢种的热变形行为研究尚未见报道, 因此有必要对该钢种的热变形行为进行研究. 金属热变形过程中在一定变形条件下会发生动态再结晶行为, 完全动态再结晶有利于实现钢材组织的精细化均匀化控制. 迄今为止, 已有大量关于金属动态再结晶的报道[3 -24 ] , 在这些报道中主要通过建立热变形本构方程的方法研究各变形参数对动态再结晶行为的影响规律, 其中, 一些报道[4 -11 ] 还建立了动态再结晶临界应变预测模型. 在建立热变形本构方程时, 部分报道[5 ,9 ,10 ,12 -16 ] 通过偏微分和线性拟合的传统方法进行热变形本构方程求解, 此方法不能一次求解热变形本构方程全部参数, 步骤较多. 曹金荣等[7 ] 提出了一种采用最小平均差优化的方法, 可以一次性获得热变形本构方程, 但计算过程较为复杂. 因此, 寻找一种能够简单有效地求解热变形本构方程的方法具有重要意义. ...
... 在不同变形温度下, 以0.1 s- 1 应变速率压缩60%后10Cr12Ni3Mo2VN钢的显微形貌如图2所示. 由图可知, 随变形温度升高, 动态再结晶晶粒体积分数升高, 1150 ℃以上发生完全动态再结晶, 且随变形温度升高再结晶后晶粒尺寸增加, 这是由于温度越高, 原子热激活能量越高, 元素扩散、位错滑移和攀移以及晶界迁移的驱动力更大, 更容易发生动态再结晶[10 ] . 图3和4分别为变形温度1200 ℃, 以不同应变速率及不同压下量变形后10Cr12Ni3Mo2VN钢的显微组织. 由图3可知, 1200 ℃时以0.01, 0.1, 1和10 s- 1 的应变速率压缩60%后试样均能发生完全动态再结晶, 且随应变速率降低, 再结晶后平均晶粒尺寸增大, 其中应变速率较高时(1和10 s- 1 ), 再结晶后晶粒为等轴状(图3a和b), 而应变速率较低时(0.01和0.1 s- 1 ), 再结晶后呈混晶形貌. 由图4可以看出, 在1200 ℃以0.1 s- 1 的应变速率压缩30%后即已发生完全动态再结晶(图4a), 随变形量继续增大, 再结晶晶粒再次细化. 低应变速率下, 动态再结晶后显微组织呈混晶形貌以及随变形量增大晶粒再次细化, 这是由于低应变速率下, 临界变形量较低, 部分区域首先发生动态再结晶, 这些新生成的再结晶晶粒有足够的时间长大, 随应变量增加, 晶粒长大与变形同时进行, 当变形量再次达到临界变形量时发生新一轮动态再结晶, 出现细小的新的再结晶晶粒(图3d和4c), 而新一轮的动态再结晶为部分动态再结晶, 并未发生完全动态再结晶, 因此导致最终晶粒形状不规则, 呈混晶形貌. ...
... 目前报道的动态再结晶双曲正弦本构方程的求解方法基本采用前文所述传统求解方法[5 ,9 ,10 ,12 -16 ] , 通过式(1)和(2)对数据进行拟合, 分别求得局部范围内的参数b 和n1 值, 然后求出式(3)中参数a 的近似解, 此时求得的a 值并非所有数据的全局解. 此外双曲正弦模型中的参数n和Q也是各变形参数下拟合得到的近似平均值, 而非最优解, 且传统方法求解过程中需多次拟合, 步骤复杂, 不能一次求得所有参数. ...
3
2008
... 10Cr12Ni3Mo2VN钢属于马氏体耐热钢, 主要用于制造超超临界机组末级叶片, 工作条件恶劣, 对钢材组织性能要求高[1 ,2 ] . 10Cr12Ni3Mo2VN钢一般采用锻造工艺生产, 有关该钢种的热变形行为研究尚未见报道, 因此有必要对该钢种的热变形行为进行研究. 金属热变形过程中在一定变形条件下会发生动态再结晶行为, 完全动态再结晶有利于实现钢材组织的精细化均匀化控制. 迄今为止, 已有大量关于金属动态再结晶的报道[3 -24 ] , 在这些报道中主要通过建立热变形本构方程的方法研究各变形参数对动态再结晶行为的影响规律, 其中, 一些报道[4 -11 ] 还建立了动态再结晶临界应变预测模型. 在建立热变形本构方程时, 部分报道[5 ,9 ,10 ,12 -16 ] 通过偏微分和线性拟合的传统方法进行热变形本构方程求解, 此方法不能一次求解热变形本构方程全部参数, 步骤较多. 曹金荣等[7 ] 提出了一种采用最小平均差优化的方法, 可以一次性获得热变形本构方程, 但计算过程较为复杂. 因此, 寻找一种能够简单有效地求解热变形本构方程的方法具有重要意义. ...
... 在不同变形温度下, 以0.1 s- 1 应变速率压缩60%后10Cr12Ni3Mo2VN钢的显微形貌如图2所示. 由图可知, 随变形温度升高, 动态再结晶晶粒体积分数升高, 1150 ℃以上发生完全动态再结晶, 且随变形温度升高再结晶后晶粒尺寸增加, 这是由于温度越高, 原子热激活能量越高, 元素扩散、位错滑移和攀移以及晶界迁移的驱动力更大, 更容易发生动态再结晶[10 ] . 图3和4分别为变形温度1200 ℃, 以不同应变速率及不同压下量变形后10Cr12Ni3Mo2VN钢的显微组织. 由图3可知, 1200 ℃时以0.01, 0.1, 1和10 s- 1 的应变速率压缩60%后试样均能发生完全动态再结晶, 且随应变速率降低, 再结晶后平均晶粒尺寸增大, 其中应变速率较高时(1和10 s- 1 ), 再结晶后晶粒为等轴状(图3a和b), 而应变速率较低时(0.01和0.1 s- 1 ), 再结晶后呈混晶形貌. 由图4可以看出, 在1200 ℃以0.1 s- 1 的应变速率压缩30%后即已发生完全动态再结晶(图4a), 随变形量继续增大, 再结晶晶粒再次细化. 低应变速率下, 动态再结晶后显微组织呈混晶形貌以及随变形量增大晶粒再次细化, 这是由于低应变速率下, 临界变形量较低, 部分区域首先发生动态再结晶, 这些新生成的再结晶晶粒有足够的时间长大, 随应变量增加, 晶粒长大与变形同时进行, 当变形量再次达到临界变形量时发生新一轮动态再结晶, 出现细小的新的再结晶晶粒(图3d和4c), 而新一轮的动态再结晶为部分动态再结晶, 并未发生完全动态再结晶, 因此导致最终晶粒形状不规则, 呈混晶形貌. ...
... 目前报道的动态再结晶双曲正弦本构方程的求解方法基本采用前文所述传统求解方法[5 ,9 ,10 ,12 -16 ] , 通过式(1)和(2)对数据进行拟合, 分别求得局部范围内的参数b 和n1 值, 然后求出式(3)中参数a 的近似解, 此时求得的a 值并非所有数据的全局解. 此外双曲正弦模型中的参数n和Q也是各变形参数下拟合得到的近似平均值, 而非最优解, 且传统方法求解过程中需多次拟合, 步骤复杂, 不能一次求得所有参数. ...
1
2008
... 10Cr12Ni3Mo2VN钢属于马氏体耐热钢, 主要用于制造超超临界机组末级叶片, 工作条件恶劣, 对钢材组织性能要求高[1 ,2 ] . 10Cr12Ni3Mo2VN钢一般采用锻造工艺生产, 有关该钢种的热变形行为研究尚未见报道, 因此有必要对该钢种的热变形行为进行研究. 金属热变形过程中在一定变形条件下会发生动态再结晶行为, 完全动态再结晶有利于实现钢材组织的精细化均匀化控制. 迄今为止, 已有大量关于金属动态再结晶的报道[3 -24 ] , 在这些报道中主要通过建立热变形本构方程的方法研究各变形参数对动态再结晶行为的影响规律, 其中, 一些报道[4 -11 ] 还建立了动态再结晶临界应变预测模型. 在建立热变形本构方程时, 部分报道[5 ,9 ,10 ,12 -16 ] 通过偏微分和线性拟合的传统方法进行热变形本构方程求解, 此方法不能一次求解热变形本构方程全部参数, 步骤较多. 曹金荣等[7 ] 提出了一种采用最小平均差优化的方法, 可以一次性获得热变形本构方程, 但计算过程较为复杂. 因此, 寻找一种能够简单有效地求解热变形本构方程的方法具有重要意义. ...
2
2011
... 10Cr12Ni3Mo2VN钢属于马氏体耐热钢, 主要用于制造超超临界机组末级叶片, 工作条件恶劣, 对钢材组织性能要求高[1 ,2 ] . 10Cr12Ni3Mo2VN钢一般采用锻造工艺生产, 有关该钢种的热变形行为研究尚未见报道, 因此有必要对该钢种的热变形行为进行研究. 金属热变形过程中在一定变形条件下会发生动态再结晶行为, 完全动态再结晶有利于实现钢材组织的精细化均匀化控制. 迄今为止, 已有大量关于金属动态再结晶的报道[3 -24 ] , 在这些报道中主要通过建立热变形本构方程的方法研究各变形参数对动态再结晶行为的影响规律, 其中, 一些报道[4 -11 ] 还建立了动态再结晶临界应变预测模型. 在建立热变形本构方程时, 部分报道[5 ,9 ,10 ,12 -16 ] 通过偏微分和线性拟合的传统方法进行热变形本构方程求解, 此方法不能一次求解热变形本构方程全部参数, 步骤较多. 曹金荣等[7 ] 提出了一种采用最小平均差优化的方法, 可以一次性获得热变形本构方程, 但计算过程较为复杂. 因此, 寻找一种能够简单有效地求解热变形本构方程的方法具有重要意义. ...
... 目前报道的动态再结晶双曲正弦本构方程的求解方法基本采用前文所述传统求解方法[5 ,9 ,10 ,12 -16 ] , 通过式(1)和(2)对数据进行拟合, 分别求得局部范围内的参数b 和n1 值, 然后求出式(3)中参数a 的近似解, 此时求得的a 值并非所有数据的全局解. 此外双曲正弦模型中的参数n和Q也是各变形参数下拟合得到的近似平均值, 而非最优解, 且传统方法求解过程中需多次拟合, 步骤复杂, 不能一次求得所有参数. ...
2
2011
... 10Cr12Ni3Mo2VN钢属于马氏体耐热钢, 主要用于制造超超临界机组末级叶片, 工作条件恶劣, 对钢材组织性能要求高[1 ,2 ] . 10Cr12Ni3Mo2VN钢一般采用锻造工艺生产, 有关该钢种的热变形行为研究尚未见报道, 因此有必要对该钢种的热变形行为进行研究. 金属热变形过程中在一定变形条件下会发生动态再结晶行为, 完全动态再结晶有利于实现钢材组织的精细化均匀化控制. 迄今为止, 已有大量关于金属动态再结晶的报道[3 -24 ] , 在这些报道中主要通过建立热变形本构方程的方法研究各变形参数对动态再结晶行为的影响规律, 其中, 一些报道[4 -11 ] 还建立了动态再结晶临界应变预测模型. 在建立热变形本构方程时, 部分报道[5 ,9 ,10 ,12 -16 ] 通过偏微分和线性拟合的传统方法进行热变形本构方程求解, 此方法不能一次求解热变形本构方程全部参数, 步骤较多. 曹金荣等[7 ] 提出了一种采用最小平均差优化的方法, 可以一次性获得热变形本构方程, 但计算过程较为复杂. 因此, 寻找一种能够简单有效地求解热变形本构方程的方法具有重要意义. ...
... 目前报道的动态再结晶双曲正弦本构方程的求解方法基本采用前文所述传统求解方法[5 ,9 ,10 ,12 -16 ] , 通过式(1)和(2)对数据进行拟合, 分别求得局部范围内的参数b 和n1 值, 然后求出式(3)中参数a 的近似解, 此时求得的a 值并非所有数据的全局解. 此外双曲正弦模型中的参数n和Q也是各变形参数下拟合得到的近似平均值, 而非最优解, 且传统方法求解过程中需多次拟合, 步骤复杂, 不能一次求得所有参数. ...
3
2013
... 金属材料热变形过程中变形温度、应变速率与峰值应力之间的关系为[13 ,14 ] : ...
... 引入Zener-Hollomon因子(Z因子)[4 -5 ,13 ] : ...
... 分别将采用传统方法求解所得参数值与采用Levenberg-Marquardt算法求解所得参数值代入式(13), 计算不同变形参数下的理论峰值应力, s p 实测值与理论计算值之间的关系如图8所示. 由图可知, 传统算法和Levenberg-Marquardt算法所得预测值与实际测量值之间的相关性较高, 判定系数 R 1 2 相近, 均达0.99以上. 同时, 这里引入平均相对误差d [13 ] : ...
3
2013
... 金属材料热变形过程中变形温度、应变速率与峰值应力之间的关系为[13 ,14 ] : ...
... 引入Zener-Hollomon因子(Z因子)[4 -5 ,13 ] : ...
... 分别将采用传统方法求解所得参数值与采用Levenberg-Marquardt算法求解所得参数值代入式(13), 计算不同变形参数下的理论峰值应力, s p 实测值与理论计算值之间的关系如图8所示. 由图可知, 传统算法和Levenberg-Marquardt算法所得预测值与实际测量值之间的相关性较高, 判定系数 R 1 2 相近, 均达0.99以上. 同时, 这里引入平均相对误差d [13 ] : ...
1
2010
... 金属材料热变形过程中变形温度、应变速率与峰值应力之间的关系为[13 ,14 ] : ...
1
2010
... 金属材料热变形过程中变形温度、应变速率与峰值应力之间的关系为[13 ,14 ] : ...
2
2002
... 10Cr12Ni3Mo2VN钢属于马氏体耐热钢, 主要用于制造超超临界机组末级叶片, 工作条件恶劣, 对钢材组织性能要求高[1 ,2 ] . 10Cr12Ni3Mo2VN钢一般采用锻造工艺生产, 有关该钢种的热变形行为研究尚未见报道, 因此有必要对该钢种的热变形行为进行研究. 金属热变形过程中在一定变形条件下会发生动态再结晶行为, 完全动态再结晶有利于实现钢材组织的精细化均匀化控制. 迄今为止, 已有大量关于金属动态再结晶的报道[3 -24 ] , 在这些报道中主要通过建立热变形本构方程的方法研究各变形参数对动态再结晶行为的影响规律, 其中, 一些报道[4 -11 ] 还建立了动态再结晶临界应变预测模型. 在建立热变形本构方程时, 部分报道[5 ,9 ,10 ,12 -16 ] 通过偏微分和线性拟合的传统方法进行热变形本构方程求解, 此方法不能一次求解热变形本构方程全部参数, 步骤较多. 曹金荣等[7 ] 提出了一种采用最小平均差优化的方法, 可以一次性获得热变形本构方程, 但计算过程较为复杂. 因此, 寻找一种能够简单有效地求解热变形本构方程的方法具有重要意义. ...
... 目前报道的动态再结晶双曲正弦本构方程的求解方法基本采用前文所述传统求解方法[5 ,9 ,10 ,12 -16 ] , 通过式(1)和(2)对数据进行拟合, 分别求得局部范围内的参数b 和n1 值, 然后求出式(3)中参数a 的近似解, 此时求得的a 值并非所有数据的全局解. 此外双曲正弦模型中的参数n和Q也是各变形参数下拟合得到的近似平均值, 而非最优解, 且传统方法求解过程中需多次拟合, 步骤复杂, 不能一次求得所有参数. ...
1
2008
... 动态再结晶临界应变e c 的确定对于研究热变形非常重要, 目前临界应变的测定主要有金相法和通过加工硬化率-应力(q -s )曲线特征点(q =ds /de )测量[7 ,21 ] . 其中金相法实验工作量大, 操作复杂, 难以精确测量e c . 本工作通过q -s 曲线特征点测量e c , 并建立e c , e p 与Z因子之间的关系模型(e p 为峰值应力对应的应变量), 用以预测不同变形参数下的应变特征值. ...
1
2005
... 10Cr12Ni3Mo2VN钢属于马氏体耐热钢, 主要用于制造超超临界机组末级叶片, 工作条件恶劣, 对钢材组织性能要求高[1 ,2 ] . 10Cr12Ni3Mo2VN钢一般采用锻造工艺生产, 有关该钢种的热变形行为研究尚未见报道, 因此有必要对该钢种的热变形行为进行研究. 金属热变形过程中在一定变形条件下会发生动态再结晶行为, 完全动态再结晶有利于实现钢材组织的精细化均匀化控制. 迄今为止, 已有大量关于金属动态再结晶的报道[3 -24 ] , 在这些报道中主要通过建立热变形本构方程的方法研究各变形参数对动态再结晶行为的影响规律, 其中, 一些报道[4 -11 ] 还建立了动态再结晶临界应变预测模型. 在建立热变形本构方程时, 部分报道[5 ,9 ,10 ,12 -16 ] 通过偏微分和线性拟合的传统方法进行热变形本构方程求解, 此方法不能一次求解热变形本构方程全部参数, 步骤较多. 曹金荣等[7 ] 提出了一种采用最小平均差优化的方法, 可以一次性获得热变形本构方程, 但计算过程较为复杂. 因此, 寻找一种能够简单有效地求解热变形本构方程的方法具有重要意义. ...